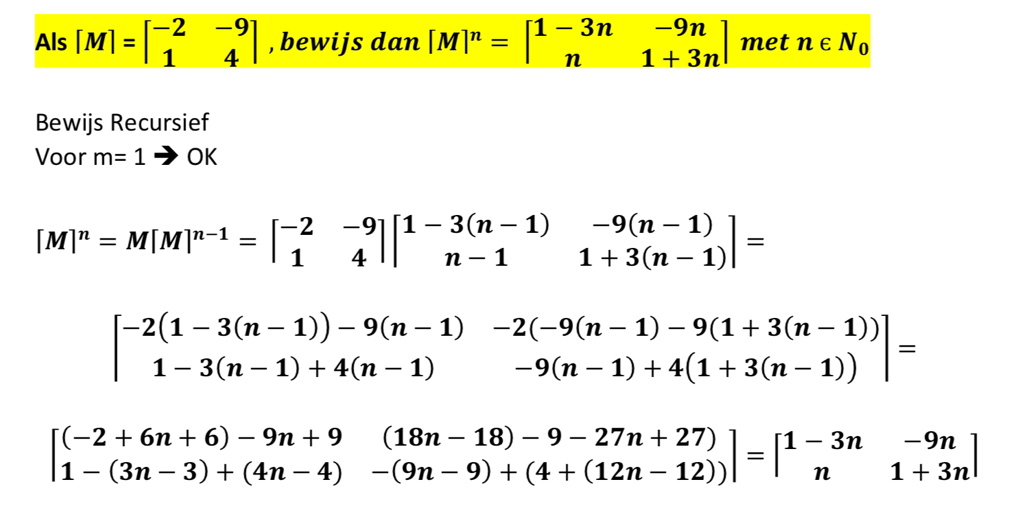
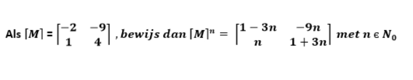
Elektronische oefening

Foto