• jozef aerts wiskunde videos bijlessen
    • Wie ben ik ? >
      • in de PERS
      • Contact Opnemen >
        • Bijlessen Wiskunde >
          • Series Bijlessen
          • Lesgeven in Secundair Onderwijs >
            • Smartboard
            • Jaarplannen
            • Overzicht : Integralen
            • Impressies van lesgeven
        • Hoofdpagina >
          • Wiskunde On-Line >
            • Analyse van Functies
            • Meetkunde >
              • XVII Analytische meetkunde in het vlak Van Thales >
                • Overzicht : Vlakke Meetkunde
                • E-Oefeningen Vlakke Meetkunde
                • Overzicht : Gelijkvormigheid en Stelling Van Thales >
                  • Optellen van getallen ( Hoofdrekenen ) >
                    • Optellen van negatieve getallen
                    • Aftrekken van getallen ( Hoofdrekenen )
                    • Aftrekken van getallen ( cijfers na de komma))
                    • Vermenigvuldigen van getallen ( Hoofdrekenen )
                    • Vermenigvuldigen van getallen ( cijfers na de komma )
                    • Vermenigvuldigen van negatieve getallen
                    • Vermenigvuldigen van kommagetallen
                    • Delen van getallen (hoofdrekenen)
                    • Staartdelingen
                    • Delen met veelvouden van 10
                    • Afronden op 10 tAL
                    • Onderdelen van een getal 10
                    • Onderdelen van een getal tiende
                    • Kleinste en Grootste Getal
                    • Omgekeerde van een getal
                    • Deelbaar door 369
                    • Deelbaar door 248
                    • Tegengestelde van een getal
                    • Volgorde van bewerkingen
                    • Van wetenschappelijke schrijfwijze naar getal
                    • Deelbaar door 525100
                    • Van getal naar wetenschappelijke schrijfwijze
                    • Omvormen van formules
                  • Kegelsneden ( overzicht )
                • E-oef : Gelijkvormigheid en Stelling Van Thales
                • Optellen van getallen ( cijfers na de komma )
              • Berekeningen met getallen
            • Verzamelingen
            • XIX Functies ( Algemene begrippen) >
              • Functies Algemeen
              • Overzicht : Functies ( Algemeen) >
                • Grafieken van functies
                • inverse functies
                • Samengestelde functies
              • E Oefeningen : Functies ( Algemeen )
            • IV Lineaire Functies ( 1ste Graad) >
              • Overzicht : Lineaire Functies ( 1ste Graad) >
                • Lineaire Vergelijkingen BASIS
                • Lineaire Vergelijkingen meerdere x
                • Lineaire Vergelijkingen met haakjes
                • Lineaire Vergelijkingen met breuken
                • Speciale Lineaire Vergelijkingen
                • Vergelijkingen met absolute waarden
                • Onderzoek Lineaire functie
                • Lineair verband
                • van grafiek naar lineaire functie
                • punten op grafiek van lineaire functie
                • Vergelijkingen met wortels en met π >
                  • Vergelijkingen met absolute waarde
                  • Lineaire vergelijkingen met parameters
                  • Vraagstuk Zakgeld per maand
                  • Op tijd naar school >
                    • Muziek aankopen
                    • Zwemmen
                    • Zakgeld per maand
                  • Ongelijkheden van de 1 ste graad
                  • Ongelijkheden met absolute waarden
                • Verhouding Vraagstukken
                • Wiskundige formule opstellen >
                  • Oplossen vraagstukken van de 1ste graad
                • Rico berekenen uit 2 punten
                • Rico berekenen uit rechte
                • Rechte door punt en gegeven Rico
                • Rechte door punt en evenwijdig met andere rechte
                • Rechte door 2 Punten
                • Midden van 2 punten >
                  • Afstand tussen 2 punten
                  • Afstand tussen punt en rechte
                • Scalair product van 2 vectoren >
                  • Norm van een vector
                  • Loodlijn uit een punt op een rechte
                  • Afstand tussen 2 rechten in het vlak
              • E-Oefeningen : Lineaire Functies ( 1ste graad functies)
            • I Kwadratische Functies >
              • Overzicht : Kwadratische Functies ( 1ste Graad) >
                • Onvolledige Vierkantsvergelijkingen >
                  • Kwadratische vergelijkingen met 2 oplossingen
                  • Kwadratische vergelijkingen met 1 nulpunt
                  • SomenproductVierkantsvergelijkingen
                  • Ontbinden factoren Vierkantsvergelijkingen >
                    • Grafiek algemene kwadratische functie
                    • Grafieken tekenen van basis kwadratische functies
                    • van grafiek naar kwadratische functie
                    • Symmetrie As en Top van kwadratische functies
                    • 2de Graad Vergelijkingen met parameters
                    • Bikwadratische Vergelijkingen
                • Vraagstukken met Kwadratische functies >
                  • Ongelijkheden van de 2de graad
              • E-Oef : Kwadratische functies ( 2de graad)
            • II Hogere Graadsfuncties ( Derde en meer) >
              • Overzicht : Hogere Graadfuncties ( Derde en meer) >
                • Graad van een veelterm
                • Euclidische Deling
                • Regel van Horner : functiewaarden
                • Regel van Horner : nulpunten
                • Regel van Horner : ontbinden met 3 nulpunten
                • Regel van Horner : ontbinden met 2 nulpunten
                • Regel van Horner : ontbinden met 1 nulpunt
                • Regel van Horner : Hogere raadsfuncties
                • Ongelijkheden veeltermfuncties
                • vraagstukken met veeltermfuncties
                • vTekenverloop van 3de graadsfunctie met 3 nulpunten >
                  • IX Rationale en Irrationale Functies >
                    • Overzicht : Rationale Functies >
                      • Partieelbreuken
                      • Rationale Vergelijkingen
                      • Rationale Ongelijkheden
                      • Bespreking Homografische functie
                      • Homografische functies omvormen naar basis
                      • Perforaties en Verticale Asymptoten
                      • Horizontale en Schuine Asymptoten
                      • Onderzoek Rationale Functie
                      • Bespreking Rationale functie
                      • Irrationale Vergelijkingen
                      • Domein Irrationale Functies
                    • E-Oefeningen Rationale en Irrationale Functies
                  • Tekenverloop van 3de graadsfunctie met 2 nulpunten
              • E-Oefeningen : Hogere graadsfuncties
            • Homografische functies eigenschappen
            • XI Afgeleiden en Verloop van functies >
              • Overzicht : Afgeleiden en Verloop van Functies >
                • Differentiequotienten
                • Diiferentiequotienten met functie >
                  • Differentiequotienten met tabel
                  • Differenteiquotienten met grafiek
                • Afgeleiden van veeltermfuncties
                • Afgeleiden van wortelfuncties
                • Afgeleiden van producten
                • Afgeleiden van quotienten
                • Kettingregel bij afgeleiden
                • Limieten van rationale functies naar a
                • Raaklijnen aan veeltermfuncties
                • Raaklijnen aan goniometrische functies
                • Raaklijnen aan exponentiele functies
                • Maxima en Minima aan veeltermfuncties
                • Stijgen en dalen van veeltermfuncties
              • E-Oefeningen Afgeleiden en Verloop van Functies
            • X Limieten >
              • Overzicht : Limieten >
                • Limieten van veeltermfuncties
                • Limieten van rationale functies naar oo
                • Limieten van Goniometrische functies
              • E-Oefeningen Limieten
            • III Goniometrie >
              • E-Oefeningen : Goniometrie >
                • Radialen - Sinus Functie
                • Goniometrische formules E-Oefening
                • Sinus En Cosinusregel : E Oefening
                • Omvormen van Formules
            • XIV Exponentiele en Logaritmische Functies >
              • Overzicht : Exponentiele en Logaritmische Functies >
                • Rechthoekige driehoeken oplossen >
                  • Vorm om naar hoek in eerste kwadrant ( in graden )
                  • Cosinus berekenen als Sinus gegeven is >
                    • Overzicht : Goniometrie >
                      • Goniometrische Cirkel >
                        • Teken van Sinus, Cosinus en Tangens
                        • Van Graden naar Radialen
                        • Van Radialen naar Graden
                        • Hoofdwaarden ( in Graden )
                        • Hoofdwaarden ( in Radialen )
                        • Supplementaire hoeken ( in graden )
                        • Supplementaire hoeken ( in radialen )
                        • AntiSupplementaire hoeken ( graden
                      • Hoofdwaarden ( in Graden )
                      • Hoofdwaarden ( in Radialen )
                      • Supplementaire Hoeken ( in Graden )
                      • Antisupplementaire Hoeken ( in Graden )
                      • Tegengestelde Hoeken ( in Graden )
                      • Goniometrische Formules
                  • Som en verschil formule >
                    • Antisupplementaire hoeken ( radialen >
                      • Tegengestelde hoeken ( in graden )
                      • Complementaire hoeken ( in graden )
                      • Complementaire hoeken ( in radialen )
                      • Tegengestelde hoeken ( in radialen )
                  • Goniometrische vergelijkingen (periodeaanpassing
                  • Goniometrische vergelijkingen (Basis)
                  • Formules van Simpson
                • Toenamefactor bij exponentiële functies
                • Toenamefactor berekenen uit 2 waarden
                • Opstellen exponentiële functie
                • Grafieken van exponentiële functie
                • omvormen exponentiële vergelijkingen naar basisvorm
                • Verdubbeling en Halvering bij exponentiële functies
                • Exponentiële vergelijkingen zelfde grondgetal
                • Exponentiële vergelijkingen verschillend grondgetal
                • Vraagstukken Exponentiële functies
                • Rekenen met Logaritmen >
                  • Logaritmische functies
                • Logaritmische Getallen >
                  • Logaritme van som en verschil
                  • Logaritme van grondgetal als macht
                  • Logaritme van grondgetal als breuk
                  • Logaritme van grondgetal als breuk
                  • Logaritme van een quotient
                  • Logaritme van een product
                  • Logaritme van een macht
                  • Logaritme met omwisseling grondgetal
                • Logaritmen met wortels
                • Logaritmische vergelijkingen
              • E-Oefeningen Exponentiele en Logaritmische Functies >
                • Grafieken van exponentiele en logaritmische functies
                • Wortelvormen Berekeningen
            • Vectorruimten >
              • ComplexeGetallenOef1
              • ComplexeGetallenOef2
              • ComplexeGetallenOef3
              • ComplexeGetallenOef4
              • Complexegetallenoef5
              • ComplexeGetallenoef6
              • MatrixOefening1
              • Matrixoefening7
              • MatrixOefening2
              • Matrixoefening5
              • Matrixoefening4
              • Matrixoefening6
              • Matrixoefening8
              • Rijenoef1
              • RijenOef2
              • Rijenoef3
              • Rijenoef4
              • Oefeningafgeleiden1
              • VeeltermfunctiesOef1
              • RijenOef5
              • Tekenen
              • Test
              • Veeltermenoef2
            • XV Matrix Rekenen >
              • Overzicht : Matrix Rekenen
              • E-Oefeningen Matrix Rekenen >
                • Matrixoefening3 >
                  • Matrixoefening9
            • V Beschrijvende Meetkunde >
              • Overzicht : Beschrijvende MeetkundeMeetkundig) >
                • Overzicht : Stelling Van Thales >
                  • Stelling van Thales Twee evenwijdige rechten en driehoek >
                    • Stelling van Thales evenwijdige projectie
                    • Stelling van Thales 3 evenwijdige rechten
                • Overzicht : Punten , Lijnen , Rechten , Hoeken
                • Cirkel >
                  • Hoeken in gelijkzijdige en gelijkbenige driehoeken
                  • Omtrekshoeken en Middelpuntshoeken
                  • Van vergelijking naar middelpunt en straal >
                    • Van middelpunt en straal naar vergelijking
                • Speciale lijnen in een driehoek >
                  • Soorten vierhoeken
                  • Soorten hoeken
                  • Soorten driehoeken
                  • Rechte,halfrechte en lijnstuk
                  • Georienteerde hoeken
                  • Overstaande en supplementaire hoeken
                  • Som van hoeken van driehoek
                  • Som van hoeken in een vierhoek
                  • Evenwijdige, loodrechte en snijdende rechten
                  • Evenwijdige rechten en hun snijlijn
                • Overzicht : Transformaties >
                  • Verschuivingen >
                    • Spiegelingen
                    • Rotaties
                    • Spiegeling tov y-as
                    • Spiegeling tov x-as
                    • Spiegeling tov oorsprong
                    • Spiegeling tov 2de bissectrice
                    • Spiegeling tov 1ste bissectrice
                    • Rotatie over +90 graden
                    • Rotatie over -90 graden
                • Overzicht : Omtrek, Oppervlakte, Inhoud
                • Vierkanten >
                  • Rechthoeken
                  • Driehoeken
                  • Ruiten
                  • Parallellogram
                  • Trapezium
                  • Cirkels
                  • Kubus
              • Overzicht : Stelling van Pythagoras en Gelijkvormigheid >
                • Stelling van Pythagoras in een rechthoekige driehoek >
                  • Metrische betrekkingen in een rechthoekige driehoek >
                    • Oplossen van gelijkvormige driehoeken
                    • Gelijkvormigheidsfactor
                    • Omtrek, Oppervlakte en inhoud bij gelijkvormigheid
                  • Stelling van Pythagoras in de Ruimte
              • E-Oefeningen Beschrijvende Meetkundeel Meetkundig >
                • E-Oefeningen : Stelling van Pythagoras >
                  • Vraagstukken Stelling van Pythagorasna
            • XII Ruimtemeetkunde >
              • Overzicht : Ruimtemeetkunde >
                • Afstand tussen 2 punten in de ruimte >
                  • Vergelijking van vlakken
                  • Vergelijkingen van rechten in de ruimte
                  • Afstand van punt tot vlak
                  • Normaalvector van een vlak
                  • Loodvlak door een punt op een rechte
                  • Loodlijn uit punt op een vlak
                  • Hoeken tussen rechten en vlakken
                  • Snijden van rechten en vlakken
                  • Kegelsneden ( Cirkel, Ellips, Parabool en Hyperbool)
              • E-Oefeningen Ruimtemeetkunde
            • XXII Financiele Algebra >
              • Lenen met vaste termijnbedrag( met TI84) >
                • Rente bij Enkelvoudig interest omvormen
                • Rente bij samengesteld interest omvormenomvormen
                • Sparen met annuiteiten (met TI84)
                • Sparen met enkelvoudig interest
                • Sparen met samengesteld interest
                • Tabel bij Lenen met EENMALIGE AFLOSSING
                • Tabel bij Lenen met Vast KAPITAALBEDRAG
                • Tabel bij Lenen met Vast Termijnbedrag
              • E-Oefeningen :Financiele Algebra >
                • Berekenen van percentages
                • Sparen en Obligaties
                • Overzicht : Financiele Algebra
                • Financiele algebra
                • Geld Lenen
            • XVI Rijen en Reeksen >
              • Opstellen rekenkundige en meetkundige rijen
              • E-Oefeningen Rijen en Reeksen >
                • Meetkundige en Rekenkundige Rijene
              • Overzicht : Rijen en Reeksen
            • Grafentheorie >
              • start pagina
            • XXI Poolcoordinaten >
              • Van Cartesisch naar Poolcoordinaten
              • Van Poolcoordinaten naar cartesisch
              • Overzicht Wiskunde Videos
              • Overzichten videos
              • Thumbnail youtube
            • VIII Statistiek , Combinatieleer en Kanstheorie >
              • Overzicht Statistiek , Combinatieleer en KanstheorieSTATISTIEK >
                • Verzamelingen opsommen >
                  • Tellen met een Venn Diagram
                  • Tellen met Boomdiagram
                  • Product, som en Complement Regel
                • Combinatie >
                  • Variatie
                  • Herhalingsvariaties
                  • Permutaties
                • Gemiddelde van een aantal getallen
                • Mediaan van een aantal getallen
                • Modus van een aantal getallen
                • Spreidingsbreedte van een aantal getallen
                • Frequentietabel van een aantal getallen
                • Staafdiagram van een aantal getallen
                • Dotplot van een aantal getallen
                • Steekproefomvang berekenen >
                  • 95% Betrouwbaarheidsintervallen (van Gemiddelden)
                  • 95% Betrouwbaarheidsintervallen ( van Proporties
              • E-Oefeningen Statistiek , Combinatieleer , Kanstheorie
              • Inductieve Wiskunde >
                • Exponentiele en logaritmen door Bingo te spelen
                • Normaalverdelingen door schoenen te verkopen
                • Blog : Bedenkingen( wiskundig en algemeen )
                • Exponentiele functies door de krant te lezen >
                  • Overzicht Verzamelingen >
                    • Unie van verzamelingen
                    • Doorsnede van verzamelingen
                    • Verschil van verzamelingen
                    • Element van en Deel van
                  • Functies >
                    • Hoeken naar Kwadrant
                    • Afronden tot op cijfers na de komma
                • Kanstheorie door ijsjes te verkopen
                • Matrix door zelfgemaakte juwelen te verkopen
                • Lineaire functies door star wars te spelen
                • Leerplannen
                • Nieuwe Hoofdpagina >
                  • Goniometrie door voetbal te spelen
                  • Afgeleiden door tennis op de maan te spelen
  • More...
    • jozef aerts wiskunde videos bijlessen >
      • Wie ben ik ? >
        • in de PERS
        • Contact Opnemen >
          • Bijlessen Wiskunde >
            • Series Bijlessen
            • Lesgeven in Secundair Onderwijs >
              • Smartboard
              • Jaarplannen
              • Overzicht : Integralen
              • Impressies van lesgeven
          • Hoofdpagina >
            • Wiskunde On-Line >
              • Analyse van Functies
              • Meetkunde >
                • XVII Analytische meetkunde in het vlak Van Thales >
                  • Overzicht : Vlakke Meetkunde
                  • E-Oefeningen Vlakke Meetkunde
                  • Overzicht : Gelijkvormigheid en Stelling Van Thales >
                    • Optellen van getallen ( Hoofdrekenen ) >
                      • Optellen van negatieve getallen
                      • Aftrekken van getallen ( Hoofdrekenen )
                      • Aftrekken van getallen ( cijfers na de komma))
                      • Vermenigvuldigen van getallen ( Hoofdrekenen )
                      • Vermenigvuldigen van getallen ( cijfers na de komma )
                      • Vermenigvuldigen van negatieve getallen
                      • Vermenigvuldigen van kommagetallen
                      • Delen van getallen (hoofdrekenen)
                      • Staartdelingen
                      • Delen met veelvouden van 10
                      • Afronden op 10 tAL
                      • Onderdelen van een getal 10
                      • Onderdelen van een getal tiende
                      • Kleinste en Grootste Getal
                      • Omgekeerde van een getal
                      • Deelbaar door 369
                      • Deelbaar door 248
                      • Tegengestelde van een getal
                      • Volgorde van bewerkingen
                      • Van wetenschappelijke schrijfwijze naar getal
                      • Deelbaar door 525100
                      • Van getal naar wetenschappelijke schrijfwijze
                      • Omvormen van formules
                    • Kegelsneden ( overzicht )
                  • E-oef : Gelijkvormigheid en Stelling Van Thales
                  • Optellen van getallen ( cijfers na de komma )
                • Berekeningen met getallen
              • Verzamelingen
              • XIX Functies ( Algemene begrippen) >
                • Functies Algemeen
                • Overzicht : Functies ( Algemeen) >
                  • Grafieken van functies
                  • inverse functies
                  • Samengestelde functies
                • E Oefeningen : Functies ( Algemeen )
              • IV Lineaire Functies ( 1ste Graad) >
                • Overzicht : Lineaire Functies ( 1ste Graad) >
                  • Lineaire Vergelijkingen BASIS
                  • Lineaire Vergelijkingen meerdere x
                  • Lineaire Vergelijkingen met haakjes
                  • Lineaire Vergelijkingen met breuken
                  • Speciale Lineaire Vergelijkingen
                  • Vergelijkingen met absolute waarden
                  • Onderzoek Lineaire functie
                  • Lineair verband
                  • van grafiek naar lineaire functie
                  • punten op grafiek van lineaire functie
                  • Vergelijkingen met wortels en met π >
                    • Vergelijkingen met absolute waarde
                    • Lineaire vergelijkingen met parameters
                    • Vraagstuk Zakgeld per maand
                    • Op tijd naar school >
                      • Muziek aankopen
                      • Zwemmen
                      • Zakgeld per maand
                    • Ongelijkheden van de 1 ste graad
                    • Ongelijkheden met absolute waarden
                  • Verhouding Vraagstukken
                  • Wiskundige formule opstellen >
                    • Oplossen vraagstukken van de 1ste graad
                  • Rico berekenen uit 2 punten
                  • Rico berekenen uit rechte
                  • Rechte door punt en gegeven Rico
                  • Rechte door punt en evenwijdig met andere rechte
                  • Rechte door 2 Punten
                  • Midden van 2 punten >
                    • Afstand tussen 2 punten
                    • Afstand tussen punt en rechte
                  • Scalair product van 2 vectoren >
                    • Norm van een vector
                    • Loodlijn uit een punt op een rechte
                    • Afstand tussen 2 rechten in het vlak
                • E-Oefeningen : Lineaire Functies ( 1ste graad functies)
              • I Kwadratische Functies >
                • Overzicht : Kwadratische Functies ( 1ste Graad) >
                  • Onvolledige Vierkantsvergelijkingen >
                    • Kwadratische vergelijkingen met 2 oplossingen
                    • Kwadratische vergelijkingen met 1 nulpunt
                    • SomenproductVierkantsvergelijkingen
                    • Ontbinden factoren Vierkantsvergelijkingen >
                      • Grafiek algemene kwadratische functie
                      • Grafieken tekenen van basis kwadratische functies
                      • van grafiek naar kwadratische functie
                      • Symmetrie As en Top van kwadratische functies
                      • 2de Graad Vergelijkingen met parameters
                      • Bikwadratische Vergelijkingen
                  • Vraagstukken met Kwadratische functies >
                    • Ongelijkheden van de 2de graad
                • E-Oef : Kwadratische functies ( 2de graad)
              • II Hogere Graadsfuncties ( Derde en meer) >
                • Overzicht : Hogere Graadfuncties ( Derde en meer) >
                  • Graad van een veelterm
                  • Euclidische Deling
                  • Regel van Horner : functiewaarden
                  • Regel van Horner : nulpunten
                  • Regel van Horner : ontbinden met 3 nulpunten
                  • Regel van Horner : ontbinden met 2 nulpunten
                  • Regel van Horner : ontbinden met 1 nulpunt
                  • Regel van Horner : Hogere raadsfuncties
                  • Ongelijkheden veeltermfuncties
                  • vraagstukken met veeltermfuncties
                  • vTekenverloop van 3de graadsfunctie met 3 nulpunten >
                    • IX Rationale en Irrationale Functies >
                      • Overzicht : Rationale Functies >
                        • Partieelbreuken
                        • Rationale Vergelijkingen
                        • Rationale Ongelijkheden
                        • Bespreking Homografische functie
                        • Homografische functies omvormen naar basis
                        • Perforaties en Verticale Asymptoten
                        • Horizontale en Schuine Asymptoten
                        • Onderzoek Rationale Functie
                        • Bespreking Rationale functie
                        • Irrationale Vergelijkingen
                        • Domein Irrationale Functies
                      • E-Oefeningen Rationale en Irrationale Functies
                    • Tekenverloop van 3de graadsfunctie met 2 nulpunten
                • E-Oefeningen : Hogere graadsfuncties
              • Homografische functies eigenschappen
              • XI Afgeleiden en Verloop van functies >
                • Overzicht : Afgeleiden en Verloop van Functies >
                  • Differentiequotienten
                  • Diiferentiequotienten met functie >
                    • Differentiequotienten met tabel
                    • Differenteiquotienten met grafiek
                  • Afgeleiden van veeltermfuncties
                  • Afgeleiden van wortelfuncties
                  • Afgeleiden van producten
                  • Afgeleiden van quotienten
                  • Kettingregel bij afgeleiden
                  • Limieten van rationale functies naar a
                  • Raaklijnen aan veeltermfuncties
                  • Raaklijnen aan goniometrische functies
                  • Raaklijnen aan exponentiele functies
                  • Maxima en Minima aan veeltermfuncties
                  • Stijgen en dalen van veeltermfuncties
                • E-Oefeningen Afgeleiden en Verloop van Functies
              • X Limieten >
                • Overzicht : Limieten >
                  • Limieten van veeltermfuncties
                  • Limieten van rationale functies naar oo
                  • Limieten van Goniometrische functies
                • E-Oefeningen Limieten
              • III Goniometrie >
                • E-Oefeningen : Goniometrie >
                  • Radialen - Sinus Functie
                  • Goniometrische formules E-Oefening
                  • Sinus En Cosinusregel : E Oefening
                  • Omvormen van Formules
              • XIV Exponentiele en Logaritmische Functies >
                • Overzicht : Exponentiele en Logaritmische Functies >
                  • Rechthoekige driehoeken oplossen >
                    • Vorm om naar hoek in eerste kwadrant ( in graden )
                    • Cosinus berekenen als Sinus gegeven is >
                      • Overzicht : Goniometrie >
                        • Goniometrische Cirkel >
                          • Teken van Sinus, Cosinus en Tangens
                          • Van Graden naar Radialen
                          • Van Radialen naar Graden
                          • Hoofdwaarden ( in Graden )
                          • Hoofdwaarden ( in Radialen )
                          • Supplementaire hoeken ( in graden )
                          • Supplementaire hoeken ( in radialen )
                          • AntiSupplementaire hoeken ( graden
                        • Hoofdwaarden ( in Graden )
                        • Hoofdwaarden ( in Radialen )
                        • Supplementaire Hoeken ( in Graden )
                        • Antisupplementaire Hoeken ( in Graden )
                        • Tegengestelde Hoeken ( in Graden )
                        • Goniometrische Formules
                    • Som en verschil formule >
                      • Antisupplementaire hoeken ( radialen >
                        • Tegengestelde hoeken ( in graden )
                        • Complementaire hoeken ( in graden )
                        • Complementaire hoeken ( in radialen )
                        • Tegengestelde hoeken ( in radialen )
                    • Goniometrische vergelijkingen (periodeaanpassing
                    • Goniometrische vergelijkingen (Basis)
                    • Formules van Simpson
                  • Toenamefactor bij exponentiële functies
                  • Toenamefactor berekenen uit 2 waarden
                  • Opstellen exponentiële functie
                  • Grafieken van exponentiële functie
                  • omvormen exponentiële vergelijkingen naar basisvorm
                  • Verdubbeling en Halvering bij exponentiële functies
                  • Exponentiële vergelijkingen zelfde grondgetal
                  • Exponentiële vergelijkingen verschillend grondgetal
                  • Vraagstukken Exponentiële functies
                  • Rekenen met Logaritmen >
                    • Logaritmische functies
                  • Logaritmische Getallen >
                    • Logaritme van som en verschil
                    • Logaritme van grondgetal als macht
                    • Logaritme van grondgetal als breuk
                    • Logaritme van grondgetal als breuk
                    • Logaritme van een quotient
                    • Logaritme van een product
                    • Logaritme van een macht
                    • Logaritme met omwisseling grondgetal
                  • Logaritmen met wortels
                  • Logaritmische vergelijkingen
                • E-Oefeningen Exponentiele en Logaritmische Functies >
                  • Grafieken van exponentiele en logaritmische functies
                  • Wortelvormen Berekeningen
              • Vectorruimten >
                • ComplexeGetallenOef1
                • ComplexeGetallenOef2
                • ComplexeGetallenOef3
                • ComplexeGetallenOef4
                • Complexegetallenoef5
                • ComplexeGetallenoef6
                • MatrixOefening1
                • Matrixoefening7
                • MatrixOefening2
                • Matrixoefening5
                • Matrixoefening4
                • Matrixoefening6
                • Matrixoefening8
                • Rijenoef1
                • RijenOef2
                • Rijenoef3
                • Rijenoef4
                • Oefeningafgeleiden1
                • VeeltermfunctiesOef1
                • RijenOef5
                • Tekenen
                • Test
                • Veeltermenoef2
              • XV Matrix Rekenen >
                • Overzicht : Matrix Rekenen
                • E-Oefeningen Matrix Rekenen >
                  • Matrixoefening3 >
                    • Matrixoefening9
              • V Beschrijvende Meetkunde >
                • Overzicht : Beschrijvende MeetkundeMeetkundig) >
                  • Overzicht : Stelling Van Thales >
                    • Stelling van Thales Twee evenwijdige rechten en driehoek >
                      • Stelling van Thales evenwijdige projectie
                      • Stelling van Thales 3 evenwijdige rechten
                  • Overzicht : Punten , Lijnen , Rechten , Hoeken
                  • Cirkel >
                    • Hoeken in gelijkzijdige en gelijkbenige driehoeken
                    • Omtrekshoeken en Middelpuntshoeken
                    • Van vergelijking naar middelpunt en straal >
                      • Van middelpunt en straal naar vergelijking
                  • Speciale lijnen in een driehoek >
                    • Soorten vierhoeken
                    • Soorten hoeken
                    • Soorten driehoeken
                    • Rechte,halfrechte en lijnstuk
                    • Georienteerde hoeken
                    • Overstaande en supplementaire hoeken
                    • Som van hoeken van driehoek
                    • Som van hoeken in een vierhoek
                    • Evenwijdige, loodrechte en snijdende rechten
                    • Evenwijdige rechten en hun snijlijn
                  • Overzicht : Transformaties >
                    • Verschuivingen >
                      • Spiegelingen
                      • Rotaties
                      • Spiegeling tov y-as
                      • Spiegeling tov x-as
                      • Spiegeling tov oorsprong
                      • Spiegeling tov 2de bissectrice
                      • Spiegeling tov 1ste bissectrice
                      • Rotatie over +90 graden
                      • Rotatie over -90 graden
                  • Overzicht : Omtrek, Oppervlakte, Inhoud
                  • Vierkanten >
                    • Rechthoeken
                    • Driehoeken
                    • Ruiten
                    • Parallellogram
                    • Trapezium
                    • Cirkels
                    • Kubus
                • Overzicht : Stelling van Pythagoras en Gelijkvormigheid >
                  • Stelling van Pythagoras in een rechthoekige driehoek >
                    • Metrische betrekkingen in een rechthoekige driehoek >
                      • Oplossen van gelijkvormige driehoeken
                      • Gelijkvormigheidsfactor
                      • Omtrek, Oppervlakte en inhoud bij gelijkvormigheid
                    • Stelling van Pythagoras in de Ruimte
                • E-Oefeningen Beschrijvende Meetkundeel Meetkundig >
                  • E-Oefeningen : Stelling van Pythagoras >
                    • Vraagstukken Stelling van Pythagorasna
              • XII Ruimtemeetkunde >
                • Overzicht : Ruimtemeetkunde >
                  • Afstand tussen 2 punten in de ruimte >
                    • Vergelijking van vlakken
                    • Vergelijkingen van rechten in de ruimte
                    • Afstand van punt tot vlak
                    • Normaalvector van een vlak
                    • Loodvlak door een punt op een rechte
                    • Loodlijn uit punt op een vlak
                    • Hoeken tussen rechten en vlakken
                    • Snijden van rechten en vlakken
                    • Kegelsneden ( Cirkel, Ellips, Parabool en Hyperbool)
                • E-Oefeningen Ruimtemeetkunde
              • XXII Financiele Algebra >
                • Lenen met vaste termijnbedrag( met TI84) >
                  • Rente bij Enkelvoudig interest omvormen
                  • Rente bij samengesteld interest omvormenomvormen
                  • Sparen met annuiteiten (met TI84)
                  • Sparen met enkelvoudig interest
                  • Sparen met samengesteld interest
                  • Tabel bij Lenen met EENMALIGE AFLOSSING
                  • Tabel bij Lenen met Vast KAPITAALBEDRAG
                  • Tabel bij Lenen met Vast Termijnbedrag
                • E-Oefeningen :Financiele Algebra >
                  • Berekenen van percentages
                  • Sparen en Obligaties
                  • Overzicht : Financiele Algebra
                  • Financiele algebra
                  • Geld Lenen
              • XVI Rijen en Reeksen >
                • Opstellen rekenkundige en meetkundige rijen
                • E-Oefeningen Rijen en Reeksen >
                  • Meetkundige en Rekenkundige Rijene
                • Overzicht : Rijen en Reeksen
              • Grafentheorie >
                • start pagina
              • XXI Poolcoordinaten >
                • Van Cartesisch naar Poolcoordinaten
                • Van Poolcoordinaten naar cartesisch
                • Overzicht Wiskunde Videos
                • Overzichten videos
                • Thumbnail youtube
              • VIII Statistiek , Combinatieleer en Kanstheorie >
                • Overzicht Statistiek , Combinatieleer en KanstheorieSTATISTIEK >
                  • Verzamelingen opsommen >
                    • Tellen met een Venn Diagram
                    • Tellen met Boomdiagram
                    • Product, som en Complement Regel
                  • Combinatie >
                    • Variatie
                    • Herhalingsvariaties
                    • Permutaties
                  • Gemiddelde van een aantal getallen
                  • Mediaan van een aantal getallen
                  • Modus van een aantal getallen
                  • Spreidingsbreedte van een aantal getallen
                  • Frequentietabel van een aantal getallen
                  • Staafdiagram van een aantal getallen
                  • Dotplot van een aantal getallen
                  • Steekproefomvang berekenen >
                    • 95% Betrouwbaarheidsintervallen (van Gemiddelden)
                    • 95% Betrouwbaarheidsintervallen ( van Proporties
                • E-Oefeningen Statistiek , Combinatieleer , Kanstheorie
                • Inductieve Wiskunde >
                  • Exponentiele en logaritmen door Bingo te spelen
                  • Normaalverdelingen door schoenen te verkopen
                  • Blog : Bedenkingen( wiskundig en algemeen )
                  • Exponentiele functies door de krant te lezen >
                    • Overzicht Verzamelingen >
                      • Unie van verzamelingen
                      • Doorsnede van verzamelingen
                      • Verschil van verzamelingen
                      • Element van en Deel van
                    • Functies >
                      • Hoeken naar Kwadrant
                      • Afronden tot op cijfers na de komma
                  • Kanstheorie door ijsjes te verkopen
                  • Matrix door zelfgemaakte juwelen te verkopen
                  • Lineaire functies door star wars te spelen
                  • Leerplannen
                  • Nieuwe Hoofdpagina >
                    • Goniometrie door voetbal te spelen
                    • Afgeleiden door tennis op de maan te spelen
Your Cart
jozef aerts wiskunde videos bijlessen
  • jozef aerts wiskunde videos bijlessen
Wie ben ik ?
  • Wie ben ik ?
  • in de PERS
Contact Opnemen
  • Contact Opnemen
Bijlessen Wiskunde
  • Bijlessen Wiskunde
  • Series Bijlessen
Lesgeven in Secundair Onderwijs
  • Lesgeven in Secundair Onderwijs
  • Smartboard
  • Jaarplannen
  • Overzicht : Integralen
  • Impressies van lesgeven
Hoofdpagina
  • Hoofdpagina
Wiskunde On-Line
  • Wiskunde On-Line
  • Analyse van Functies
  • Verzamelingen
  • Homografische functies eigenschappen
Meetkunde
  • Meetkunde
  • Berekeningen met getallen
XVII Analytische meetkunde in het vlak Van Thales
  • XVII Analytische meetkunde in het vlak Van Thales
  • Overzicht : Vlakke Meetkunde
  • E-Oefeningen Vlakke Meetkunde
  • E-oef : Gelijkvormigheid en Stelling Van Thales
  • Optellen van getallen ( cijfers na de komma )
Overzicht : Gelijkvormigheid en Stelling Van Thales
  • Overzicht : Gelijkvormigheid en Stelling Van Thales
  • Kegelsneden ( overzicht )
Optellen van getallen ( Hoofdrekenen )
  • Optellen van getallen ( Hoofdrekenen )
  • Optellen van negatieve getallen
  • Aftrekken van getallen ( Hoofdrekenen )
  • Aftrekken van getallen ( cijfers na de komma))
  • Vermenigvuldigen van getallen ( Hoofdrekenen )
  • Vermenigvuldigen van getallen ( cijfers na de komma )
  • Vermenigvuldigen van negatieve getallen
  • Vermenigvuldigen van kommagetallen
  • Delen van getallen (hoofdrekenen)
  • Staartdelingen
  • Delen met veelvouden van 10
  • Afronden op 10 tAL
  • Onderdelen van een getal 10
  • Onderdelen van een getal tiende
  • Kleinste en Grootste Getal
  • Omgekeerde van een getal
  • Deelbaar door 369
  • Deelbaar door 248
  • Tegengestelde van een getal
  • Volgorde van bewerkingen
  • Van wetenschappelijke schrijfwijze naar getal
  • Deelbaar door 525100
  • Van getal naar wetenschappelijke schrijfwijze
  • Omvormen van formules
XIX Functies ( Algemene begrippen)
  • XIX Functies ( Algemene begrippen)
  • Functies Algemeen
  • E Oefeningen : Functies ( Algemeen )
Overzicht : Functies ( Algemeen)
  • Overzicht : Functies ( Algemeen)
  • Grafieken van functies
  • inverse functies
  • Samengestelde functies
IV Lineaire Functies ( 1ste Graad)
  • IV Lineaire Functies ( 1ste Graad)
  • E-Oefeningen : Lineaire Functies ( 1ste graad functies)
Overzicht : Lineaire Functies ( 1ste Graad)
  • Overzicht : Lineaire Functies ( 1ste Graad)
  • Lineaire Vergelijkingen BASIS
  • Lineaire Vergelijkingen meerdere x
  • Lineaire Vergelijkingen met haakjes
  • Lineaire Vergelijkingen met breuken
  • Speciale Lineaire Vergelijkingen
  • Vergelijkingen met absolute waarden
  • Onderzoek Lineaire functie
  • Lineair verband
  • van grafiek naar lineaire functie
  • punten op grafiek van lineaire functie
  • Verhouding Vraagstukken
  • Rico berekenen uit 2 punten
  • Rico berekenen uit rechte
  • Rechte door punt en gegeven Rico
  • Rechte door punt en evenwijdig met andere rechte
  • Rechte door 2 Punten
Vergelijkingen met wortels en met π
  • Vergelijkingen met wortels en met π
  • Vergelijkingen met absolute waarde
  • Lineaire vergelijkingen met parameters
  • Vraagstuk Zakgeld per maand
  • Ongelijkheden van de 1 ste graad
  • Ongelijkheden met absolute waarden
Op tijd naar school
  • Op tijd naar school
  • Muziek aankopen
  • Zwemmen
  • Zakgeld per maand
Wiskundige formule opstellen
  • Wiskundige formule opstellen
  • Oplossen vraagstukken van de 1ste graad
Midden van 2 punten
  • Midden van 2 punten
  • Afstand tussen 2 punten
  • Afstand tussen punt en rechte
Scalair product van 2 vectoren
  • Scalair product van 2 vectoren
  • Norm van een vector
  • Loodlijn uit een punt op een rechte
  • Afstand tussen 2 rechten in het vlak
I Kwadratische Functies
  • I Kwadratische Functies
  • E-Oef : Kwadratische functies ( 2de graad)
Overzicht : Kwadratische Functies ( 1ste Graad)
  • Overzicht : Kwadratische Functies ( 1ste Graad)
Onvolledige Vierkantsvergelijkingen
  • Onvolledige Vierkantsvergelijkingen
  • Kwadratische vergelijkingen met 2 oplossingen
  • Kwadratische vergelijkingen met 1 nulpunt
  • SomenproductVierkantsvergelijkingen
Ontbinden factoren Vierkantsvergelijkingen
  • Ontbinden factoren Vierkantsvergelijkingen
  • Grafiek algemene kwadratische functie
  • Grafieken tekenen van basis kwadratische functies
  • van grafiek naar kwadratische functie
  • Symmetrie As en Top van kwadratische functies
  • 2de Graad Vergelijkingen met parameters
  • Bikwadratische Vergelijkingen
Vraagstukken met Kwadratische functies
  • Vraagstukken met Kwadratische functies
  • Ongelijkheden van de 2de graad
II Hogere Graadsfuncties ( Derde en meer)
  • II Hogere Graadsfuncties ( Derde en meer)
  • E-Oefeningen : Hogere graadsfuncties
Overzicht : Hogere Graadfuncties ( Derde en meer)
  • Overzicht : Hogere Graadfuncties ( Derde en meer)
  • Graad van een veelterm
  • Euclidische Deling
  • Regel van Horner : functiewaarden
  • Regel van Horner : nulpunten
  • Regel van Horner : ontbinden met 3 nulpunten
  • Regel van Horner : ontbinden met 2 nulpunten
  • Regel van Horner : ontbinden met 1 nulpunt
  • Regel van Horner : Hogere raadsfuncties
  • Ongelijkheden veeltermfuncties
  • vraagstukken met veeltermfuncties
vTekenverloop van 3de graadsfunctie met 3 nulpunten
  • vTekenverloop van 3de graadsfunctie met 3 nulpunten
  • Tekenverloop van 3de graadsfunctie met 2 nulpunten
IX Rationale en Irrationale Functies
  • IX Rationale en Irrationale Functies
  • E-Oefeningen Rationale en Irrationale Functies
Overzicht : Rationale Functies
  • Overzicht : Rationale Functies
  • Partieelbreuken
  • Rationale Vergelijkingen
  • Rationale Ongelijkheden
  • Bespreking Homografische functie
  • Homografische functies omvormen naar basis
  • Perforaties en Verticale Asymptoten
  • Horizontale en Schuine Asymptoten
  • Onderzoek Rationale Functie
  • Bespreking Rationale functie
  • Irrationale Vergelijkingen
  • Domein Irrationale Functies
XI Afgeleiden en Verloop van functies
  • XI Afgeleiden en Verloop van functies
  • E-Oefeningen Afgeleiden en Verloop van Functies
Overzicht : Afgeleiden en Verloop van Functies
  • Overzicht : Afgeleiden en Verloop van Functies
  • Differentiequotienten
  • Afgeleiden van veeltermfuncties
  • Afgeleiden van wortelfuncties
  • Afgeleiden van producten
  • Afgeleiden van quotienten
  • Kettingregel bij afgeleiden
  • Limieten van rationale functies naar a
  • Raaklijnen aan veeltermfuncties
  • Raaklijnen aan goniometrische functies
  • Raaklijnen aan exponentiele functies
  • Maxima en Minima aan veeltermfuncties
  • Stijgen en dalen van veeltermfuncties
Diiferentiequotienten met functie
  • Diiferentiequotienten met functie
  • Differentiequotienten met tabel
  • Differenteiquotienten met grafiek
X Limieten
  • X Limieten
  • E-Oefeningen Limieten
Overzicht : Limieten
  • Overzicht : Limieten
  • Limieten van veeltermfuncties
  • Limieten van rationale functies naar oo
  • Limieten van Goniometrische functies
III Goniometrie
  • III Goniometrie
E-Oefeningen : Goniometrie
  • E-Oefeningen : Goniometrie
  • Radialen - Sinus Functie
  • Goniometrische formules E-Oefening
  • Sinus En Cosinusregel : E Oefening
  • Omvormen van Formules
XIV Exponentiele en Logaritmische Functies
  • XIV Exponentiele en Logaritmische Functies
Overzicht : Exponentiele en Logaritmische Functies
  • Overzicht : Exponentiele en Logaritmische Functies
  • Toenamefactor bij exponentiële functies
  • Toenamefactor berekenen uit 2 waarden
  • Opstellen exponentiële functie
  • Grafieken van exponentiële functie
  • omvormen exponentiële vergelijkingen naar basisvorm
  • Verdubbeling en Halvering bij exponentiële functies
  • Exponentiële vergelijkingen zelfde grondgetal
  • Exponentiële vergelijkingen verschillend grondgetal
  • Vraagstukken Exponentiële functies
  • Logaritmen met wortels
  • Logaritmische vergelijkingen
Rechthoekige driehoeken oplossen
  • Rechthoekige driehoeken oplossen
  • Vorm om naar hoek in eerste kwadrant ( in graden )
  • Goniometrische vergelijkingen (periodeaanpassing
  • Goniometrische vergelijkingen (Basis)
  • Formules van Simpson
Cosinus berekenen als Sinus gegeven is
  • Cosinus berekenen als Sinus gegeven is
Overzicht : Goniometrie
  • Overzicht : Goniometrie
  • Hoofdwaarden ( in Graden )
  • Hoofdwaarden ( in Radialen )
  • Supplementaire Hoeken ( in Graden )
  • Antisupplementaire Hoeken ( in Graden )
  • Tegengestelde Hoeken ( in Graden )
  • Goniometrische Formules
Goniometrische Cirkel
  • Goniometrische Cirkel
  • Teken van Sinus, Cosinus en Tangens
  • Van Graden naar Radialen
  • Van Radialen naar Graden
  • Hoofdwaarden ( in Graden )
  • Hoofdwaarden ( in Radialen )
  • Supplementaire hoeken ( in graden )
  • Supplementaire hoeken ( in radialen )
  • AntiSupplementaire hoeken ( graden
Som en verschil formule
  • Som en verschil formule
Antisupplementaire hoeken ( radialen
  • Antisupplementaire hoeken ( radialen
  • Tegengestelde hoeken ( in graden )
  • Complementaire hoeken ( in graden )
  • Complementaire hoeken ( in radialen )
  • Tegengestelde hoeken ( in radialen )
Rekenen met Logaritmen
  • Rekenen met Logaritmen
  • Logaritmische functies
Logaritmische Getallen
  • Logaritmische Getallen
  • Logaritme van som en verschil
  • Logaritme van grondgetal als macht
  • Logaritme van grondgetal als breuk
  • Logaritme van grondgetal als breuk
  • Logaritme van een quotient
  • Logaritme van een product
  • Logaritme van een macht
  • Logaritme met omwisseling grondgetal
E-Oefeningen Exponentiele en Logaritmische Functies
  • E-Oefeningen Exponentiele en Logaritmische Functies
  • Grafieken van exponentiele en logaritmische functies
  • Wortelvormen Berekeningen
Vectorruimten
  • Vectorruimten
  • ComplexeGetallenOef1
  • ComplexeGetallenOef2
  • ComplexeGetallenOef3
  • ComplexeGetallenOef4
  • Complexegetallenoef5
  • ComplexeGetallenoef6
  • MatrixOefening1
  • Matrixoefening7
  • MatrixOefening2
  • Matrixoefening5
  • Matrixoefening4
  • Matrixoefening6
  • Matrixoefening8
  • Rijenoef1
  • RijenOef2
  • Rijenoef3
  • Rijenoef4
  • Oefeningafgeleiden1
  • VeeltermfunctiesOef1
  • RijenOef5
  • Tekenen
  • Test
  • Veeltermenoef2
XV Matrix Rekenen
  • XV Matrix Rekenen
  • Overzicht : Matrix Rekenen
E-Oefeningen Matrix Rekenen
  • E-Oefeningen Matrix Rekenen
Matrixoefening3
  • Matrixoefening3
  • Matrixoefening9
V Beschrijvende Meetkunde
  • V Beschrijvende Meetkunde
Overzicht : Beschrijvende MeetkundeMeetkundig)
  • Overzicht : Beschrijvende MeetkundeMeetkundig)
  • Overzicht : Punten , Lijnen , Rechten , Hoeken
  • Overzicht : Omtrek, Oppervlakte, Inhoud
Overzicht : Stelling Van Thales
  • Overzicht : Stelling Van Thales
Stelling van Thales Twee evenwijdige rechten en driehoek
  • Stelling van Thales Twee evenwijdige rechten en driehoek
  • Stelling van Thales evenwijdige projectie
  • Stelling van Thales 3 evenwijdige rechten
Cirkel
  • Cirkel
  • Hoeken in gelijkzijdige en gelijkbenige driehoeken
  • Omtrekshoeken en Middelpuntshoeken
Van vergelijking naar middelpunt en straal
  • Van vergelijking naar middelpunt en straal
  • Van middelpunt en straal naar vergelijking
Speciale lijnen in een driehoek
  • Speciale lijnen in een driehoek
  • Soorten vierhoeken
  • Soorten hoeken
  • Soorten driehoeken
  • Rechte,halfrechte en lijnstuk
  • Georienteerde hoeken
  • Overstaande en supplementaire hoeken
  • Som van hoeken van driehoek
  • Som van hoeken in een vierhoek
  • Evenwijdige, loodrechte en snijdende rechten
  • Evenwijdige rechten en hun snijlijn
Overzicht : Transformaties
  • Overzicht : Transformaties
Verschuivingen
  • Verschuivingen
  • Spiegelingen
  • Rotaties
  • Spiegeling tov y-as
  • Spiegeling tov x-as
  • Spiegeling tov oorsprong
  • Spiegeling tov 2de bissectrice
  • Spiegeling tov 1ste bissectrice
  • Rotatie over +90 graden
  • Rotatie over -90 graden
Vierkanten
  • Vierkanten
  • Rechthoeken
  • Driehoeken
  • Ruiten
  • Parallellogram
  • Trapezium
  • Cirkels
  • Kubus
Overzicht : Stelling van Pythagoras en Gelijkvormigheid
  • Overzicht : Stelling van Pythagoras en Gelijkvormigheid
Stelling van Pythagoras in een rechthoekige driehoek
  • Stelling van Pythagoras in een rechthoekige driehoek
  • Stelling van Pythagoras in de Ruimte
Metrische betrekkingen in een rechthoekige driehoek
  • Metrische betrekkingen in een rechthoekige driehoek
  • Oplossen van gelijkvormige driehoeken
  • Gelijkvormigheidsfactor
  • Omtrek, Oppervlakte en inhoud bij gelijkvormigheid
E-Oefeningen Beschrijvende Meetkundeel Meetkundig
  • E-Oefeningen Beschrijvende Meetkundeel Meetkundig
E-Oefeningen : Stelling van Pythagoras
  • E-Oefeningen : Stelling van Pythagoras
  • Vraagstukken Stelling van Pythagorasna
XII Ruimtemeetkunde
  • XII Ruimtemeetkunde
  • E-Oefeningen Ruimtemeetkunde
Overzicht : Ruimtemeetkunde
  • Overzicht : Ruimtemeetkunde
Afstand tussen 2 punten in de ruimte
  • Afstand tussen 2 punten in de ruimte
  • Vergelijking van vlakken
  • Vergelijkingen van rechten in de ruimte
  • Afstand van punt tot vlak
  • Normaalvector van een vlak
  • Loodvlak door een punt op een rechte
  • Loodlijn uit punt op een vlak
  • Hoeken tussen rechten en vlakken
  • Snijden van rechten en vlakken
  • Kegelsneden ( Cirkel, Ellips, Parabool en Hyperbool)
XXII Financiele Algebra
  • XXII Financiele Algebra
Lenen met vaste termijnbedrag( met TI84)
  • Lenen met vaste termijnbedrag( met TI84)
  • Rente bij Enkelvoudig interest omvormen
  • Rente bij samengesteld interest omvormenomvormen
  • Sparen met annuiteiten (met TI84)
  • Sparen met enkelvoudig interest
  • Sparen met samengesteld interest
  • Tabel bij Lenen met EENMALIGE AFLOSSING
  • Tabel bij Lenen met Vast KAPITAALBEDRAG
  • Tabel bij Lenen met Vast Termijnbedrag
E-Oefeningen :Financiele Algebra
  • E-Oefeningen :Financiele Algebra
  • Berekenen van percentages
  • Sparen en Obligaties
  • Overzicht : Financiele Algebra
  • Financiele algebra
  • Geld Lenen
XVI Rijen en Reeksen
  • XVI Rijen en Reeksen
  • Opstellen rekenkundige en meetkundige rijen
  • Overzicht : Rijen en Reeksen
E-Oefeningen Rijen en Reeksen
  • E-Oefeningen Rijen en Reeksen
  • Meetkundige en Rekenkundige Rijene
Grafentheorie
  • Grafentheorie
  • start pagina
XXI Poolcoordinaten
  • XXI Poolcoordinaten
  • Van Cartesisch naar Poolcoordinaten
  • Van Poolcoordinaten naar cartesisch
  • Overzicht Wiskunde Videos
  • Overzichten videos
  • Thumbnail youtube
VIII Statistiek , Combinatieleer en Kanstheorie
  • VIII Statistiek , Combinatieleer en Kanstheorie
  • E-Oefeningen Statistiek , Combinatieleer , Kanstheorie
Overzicht Statistiek , Combinatieleer en KanstheorieSTATISTIEK
  • Overzicht Statistiek , Combinatieleer en KanstheorieSTATISTIEK
  • Gemiddelde van een aantal getallen
  • Mediaan van een aantal getallen
  • Modus van een aantal getallen
  • Spreidingsbreedte van een aantal getallen
  • Frequentietabel van een aantal getallen
  • Staafdiagram van een aantal getallen
  • Dotplot van een aantal getallen
Verzamelingen opsommen
  • Verzamelingen opsommen
  • Tellen met een Venn Diagram
  • Tellen met Boomdiagram
  • Product, som en Complement Regel
Combinatie
  • Combinatie
  • Variatie
  • Herhalingsvariaties
  • Permutaties
Steekproefomvang berekenen
  • Steekproefomvang berekenen
  • 95% Betrouwbaarheidsintervallen (van Gemiddelden)
  • 95% Betrouwbaarheidsintervallen ( van Proporties
Inductieve Wiskunde
  • Inductieve Wiskunde
  • Exponentiele en logaritmen door Bingo te spelen
  • Normaalverdelingen door schoenen te verkopen
  • Blog : Bedenkingen( wiskundig en algemeen )
  • Kanstheorie door ijsjes te verkopen
  • Matrix door zelfgemaakte juwelen te verkopen
  • Lineaire functies door star wars te spelen
  • Leerplannen
Exponentiele functies door de krant te lezen
  • Exponentiele functies door de krant te lezen
Overzicht Verzamelingen
  • Overzicht Verzamelingen
  • Unie van verzamelingen
  • Doorsnede van verzamelingen
  • Verschil van verzamelingen
  • Element van en Deel van
Functies
  • Functies
  • Hoeken naar Kwadrant
  • Afronden tot op cijfers na de komma
Nieuwe Hoofdpagina
  • Nieuwe Hoofdpagina
  • Goniometrie door voetbal te spelen
  • Afgeleiden door tennis op de maan te spelen
Your Cart

Overzicht Matrix Rekenen

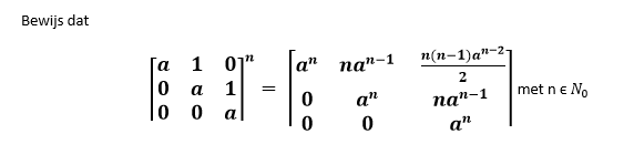
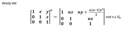
Dit zijn vragen uit het toelatingsexamen burgerlijk ingenieur van de universiteit Gent , met als onderwerp MATRIX
pdf algebra_sept_1979__vraag_2.pdf
Foto
pdf algebra_sept_1980__vraag_2.pdf
Foto
pdf algebra_juli_1980__vraag_4.pdf
Foto
pdf algebra_sept_1978__vraag_1.pdf
Foto
pdf algebra_juli_1978__vraag_4.pdf
Foto
pdf algebra_juli_1978__vraag_1.pdf
Foto
pdf algebra_sept_1978__vraag_2.pdf
Foto
pdf algebra_sept_1980__vraag_4.pdf
Foto
pdf algebra_sept_1975__vraag_1.pdf
Foto
pdf algebra_sept_1981_vraag_3.pdf
Foto

Alle wiskunde vragen via www.jozefaerts.xyz . U kan mij direct bereiken door hier op te klikken

Zelfstandige in bijberoep KBO nummer 0736.675.705