{ window.scrollTo(0,0) });" x-data x-cloak >
jozef aerts wiskunde videos bijlessen
Wie ben ik ?
>
in de PERS
Contact Opnemen
>
Bijlessen Wiskunde
>
Series Bijlessen
Lesgeven in Secundair Onderwijs
>
Smartboard
Jaarplannen
Overzicht : Integralen
Impressies van lesgeven
Hoofdpagina
>
Wiskunde On-Line
>
Analyse van Functies
Meetkunde
>
XVII Analytische meetkunde in het vlak Van Thales
>
Overzicht : Vlakke Meetkunde
E-Oefeningen Vlakke Meetkunde
Overzicht : Gelijkvormigheid en Stelling Van Thales
>
Optellen van getallen ( Hoofdrekenen )
>
Optellen van negatieve getallen
Aftrekken van getallen ( Hoofdrekenen )
Aftrekken van getallen ( cijfers na de komma))
Vermenigvuldigen van getallen ( Hoofdrekenen )
Vermenigvuldigen van getallen ( cijfers na de komma )
Vermenigvuldigen van negatieve getallen
Vermenigvuldigen van kommagetallen
Delen van getallen (hoofdrekenen)
Staartdelingen
Delen met veelvouden van 10
Afronden op 10 tAL
Onderdelen van een getal 10
Onderdelen van een getal tiende
Kleinste en Grootste Getal
Omgekeerde van een getal
Deelbaar door 369
Deelbaar door 248
Tegengestelde van een getal
Volgorde van bewerkingen
Van wetenschappelijke schrijfwijze naar getal
Deelbaar door 525100
Van getal naar wetenschappelijke schrijfwijze
Omvormen van formules
Kegelsneden ( overzicht )
E-oef : Gelijkvormigheid en Stelling Van Thales
Optellen van getallen ( cijfers na de komma )
Berekeningen met getallen
Verzamelingen
XIX Functies ( Algemene begrippen)
>
Functies Algemeen
Overzicht : Functies ( Algemeen)
>
Grafieken van functies
inverse functies
Samengestelde functies
E Oefeningen : Functies ( Algemeen )
IV Lineaire Functies ( 1ste Graad)
>
Overzicht : Lineaire Functies ( 1ste Graad)
>
Lineaire Vergelijkingen BASIS
Lineaire Vergelijkingen meerdere x
Lineaire Vergelijkingen met haakjes
Lineaire Vergelijkingen met breuken
Speciale Lineaire Vergelijkingen
Vergelijkingen met absolute waarden
Onderzoek Lineaire functie
Lineair verband
van grafiek naar lineaire functie
punten op grafiek van lineaire functie
Vergelijkingen met wortels en met π
>
Vergelijkingen met absolute waarde
Lineaire vergelijkingen met parameters
Vraagstuk Zakgeld per maand
Op tijd naar school
>
Muziek aankopen
Zwemmen
Zakgeld per maand
Ongelijkheden van de 1 ste graad
Ongelijkheden met absolute waarden
Verhouding Vraagstukken
Wiskundige formule opstellen
>
Oplossen vraagstukken van de 1ste graad
Rico berekenen uit 2 punten
Rico berekenen uit rechte
Rechte door punt en gegeven Rico
Rechte door punt en evenwijdig met andere rechte
Rechte door 2 Punten
Midden van 2 punten
>
Afstand tussen 2 punten
Afstand tussen punt en rechte
Scalair product van 2 vectoren
>
Norm van een vector
Loodlijn uit een punt op een rechte
Afstand tussen 2 rechten in het vlak
E-Oefeningen : Lineaire Functies ( 1ste graad functies)
I Kwadratische Functies
>
Overzicht : Kwadratische Functies ( 1ste Graad)
>
Onvolledige Vierkantsvergelijkingen
>
Kwadratische vergelijkingen met 2 oplossingen
Kwadratische vergelijkingen met 1 nulpunt
SomenproductVierkantsvergelijkingen
Ontbinden factoren Vierkantsvergelijkingen
>
Grafiek algemene kwadratische functie
Grafieken tekenen van basis kwadratische functies
van grafiek naar kwadratische functie
Symmetrie As en Top van kwadratische functies
2de Graad Vergelijkingen met parameters
Bikwadratische Vergelijkingen
Vraagstukken met Kwadratische functies
>
Ongelijkheden van de 2de graad
E-Oef : Kwadratische functies ( 2de graad)
II Hogere Graadsfuncties ( Derde en meer)
>
Overzicht : Hogere Graadfuncties ( Derde en meer)
>
Graad van een veelterm
Euclidische Deling
Regel van Horner : functiewaarden
Regel van Horner : nulpunten
Regel van Horner : ontbinden met 3 nulpunten
Regel van Horner : ontbinden met 2 nulpunten
Regel van Horner : ontbinden met 1 nulpunt
Regel van Horner : Hogere raadsfuncties
Ongelijkheden veeltermfuncties
vraagstukken met veeltermfuncties
vTekenverloop van 3de graadsfunctie met 3 nulpunten
>
IX Rationale en Irrationale Functies
>
Overzicht : Rationale Functies
>
Partieelbreuken
Rationale Vergelijkingen
Rationale Ongelijkheden
Bespreking Homografische functie
Homografische functies omvormen naar basis
Perforaties en Verticale Asymptoten
Horizontale en Schuine Asymptoten
Onderzoek Rationale Functie
Bespreking Rationale functie
Irrationale Vergelijkingen
Domein Irrationale Functies
E-Oefeningen Rationale en Irrationale Functies
Tekenverloop van 3de graadsfunctie met 2 nulpunten
E-Oefeningen : Hogere graadsfuncties
Homografische functies eigenschappen
XI Afgeleiden en Verloop van functies
>
Overzicht : Afgeleiden en Verloop van Functies
>
Differentiequotienten
Diiferentiequotienten met functie
>
Differentiequotienten met tabel
Differenteiquotienten met grafiek
Afgeleiden van veeltermfuncties
Afgeleiden van wortelfuncties
Afgeleiden van producten
Afgeleiden van quotienten
Kettingregel bij afgeleiden
Limieten van rationale functies naar a
Raaklijnen aan veeltermfuncties
Raaklijnen aan goniometrische functies
Raaklijnen aan exponentiele functies
Maxima en Minima aan veeltermfuncties
Stijgen en dalen van veeltermfuncties
E-Oefeningen Afgeleiden en Verloop van Functies
X Limieten
>
Overzicht : Limieten
>
Limieten van veeltermfuncties
Limieten van rationale functies naar oo
Limieten van Goniometrische functies
E-Oefeningen Limieten
III Goniometrie
>
E-Oefeningen : Goniometrie
>
Radialen - Sinus Functie
Goniometrische formules E-Oefening
Sinus En Cosinusregel : E Oefening
Omvormen van Formules
XIV Exponentiele en Logaritmische Functies
>
Overzicht : Exponentiele en Logaritmische Functies
>
Rechthoekige driehoeken oplossen
>
Vorm om naar hoek in eerste kwadrant ( in graden )
Cosinus berekenen als Sinus gegeven is
>
Overzicht : Goniometrie
>
Goniometrische Cirkel
>
Teken van Sinus, Cosinus en Tangens
Van Graden naar Radialen
Van Radialen naar Graden
Hoofdwaarden ( in Graden )
Hoofdwaarden ( in Radialen )
Supplementaire hoeken ( in graden )
Supplementaire hoeken ( in radialen )
AntiSupplementaire hoeken ( graden
Hoofdwaarden ( in Graden )
Hoofdwaarden ( in Radialen )
Supplementaire Hoeken ( in Graden )
Antisupplementaire Hoeken ( in Graden )
Tegengestelde Hoeken ( in Graden )
Goniometrische Formules
Som en verschil formule
>
Antisupplementaire hoeken ( radialen
>
Tegengestelde hoeken ( in graden )
Complementaire hoeken ( in graden )
Complementaire hoeken ( in radialen )
Tegengestelde hoeken ( in radialen )
Goniometrische vergelijkingen (periodeaanpassing
Goniometrische vergelijkingen (Basis)
Formules van Simpson
Toenamefactor bij exponentiële functies
Toenamefactor berekenen uit 2 waarden
Opstellen exponentiële functie
Grafieken van exponentiële functie
omvormen exponentiële vergelijkingen naar basisvorm
Verdubbeling en Halvering bij exponentiële functies
Exponentiële vergelijkingen zelfde grondgetal
Exponentiële vergelijkingen verschillend grondgetal
Vraagstukken Exponentiële functies
Rekenen met Logaritmen
>
Logaritmische functies
Logaritmische Getallen
>
Logaritme van som en verschil
Logaritme van grondgetal als macht
Logaritme van grondgetal als breuk
Logaritme van grondgetal als breuk
Logaritme van een quotient
Logaritme van een product
Logaritme van een macht
Logaritme met omwisseling grondgetal
Logaritmen met wortels
Logaritmische vergelijkingen
E-Oefeningen Exponentiele en Logaritmische Functies
>
Grafieken van exponentiele en logaritmische functies
Wortelvormen Berekeningen
Vectorruimten
>
ComplexeGetallenOef1
ComplexeGetallenOef2
ComplexeGetallenOef3
ComplexeGetallenOef4
Complexegetallenoef5
ComplexeGetallenoef6
MatrixOefening1
Matrixoefening7
MatrixOefening2
Matrixoefening5
Matrixoefening4
Matrixoefening6
Matrixoefening8
Rijenoef1
RijenOef2
Rijenoef3
Rijenoef4
Oefeningafgeleiden1
VeeltermfunctiesOef1
RijenOef5
Tekenen
Test
Veeltermenoef2
XV Matrix Rekenen
>
Overzicht : Matrix Rekenen
E-Oefeningen Matrix Rekenen
>
Matrixoefening3
>
Matrixoefening9
V Beschrijvende Meetkunde
>
Overzicht : Beschrijvende MeetkundeMeetkundig)
>
Overzicht : Stelling Van Thales
>
Stelling van Thales Twee evenwijdige rechten en driehoek
>
Stelling van Thales evenwijdige projectie
Stelling van Thales 3 evenwijdige rechten
Overzicht : Punten , Lijnen , Rechten , Hoeken
Cirkel
>
Hoeken in gelijkzijdige en gelijkbenige driehoeken
Omtrekshoeken en Middelpuntshoeken
Van vergelijking naar middelpunt en straal
>
Van middelpunt en straal naar vergelijking
Speciale lijnen in een driehoek
>
Soorten vierhoeken
Soorten hoeken
Soorten driehoeken
Rechte,halfrechte en lijnstuk
Georienteerde hoeken
Overstaande en supplementaire hoeken
Som van hoeken van driehoek
Som van hoeken in een vierhoek
Evenwijdige, loodrechte en snijdende rechten
Evenwijdige rechten en hun snijlijn
Overzicht : Transformaties
>
Verschuivingen
>
Spiegelingen
Rotaties
Spiegeling tov y-as
Spiegeling tov x-as
Spiegeling tov oorsprong
Spiegeling tov 2de bissectrice
Spiegeling tov 1ste bissectrice
Rotatie over +90 graden
Rotatie over -90 graden
Overzicht : Omtrek, Oppervlakte, Inhoud
Vierkanten
>
Rechthoeken
Driehoeken
Ruiten
Parallellogram
Trapezium
Cirkels
Kubus
Overzicht : Stelling van Pythagoras en Gelijkvormigheid
>
Stelling van Pythagoras in een rechthoekige driehoek
>
Metrische betrekkingen in een rechthoekige driehoek
>
Oplossen van gelijkvormige driehoeken
Gelijkvormigheidsfactor
Omtrek, Oppervlakte en inhoud bij gelijkvormigheid
Stelling van Pythagoras in de Ruimte
E-Oefeningen Beschrijvende Meetkundeel Meetkundig
>
E-Oefeningen : Stelling van Pythagoras
>
Vraagstukken Stelling van Pythagorasna
XII Ruimtemeetkunde
>
Overzicht : Ruimtemeetkunde
>
Afstand tussen 2 punten in de ruimte
>
Vergelijking van vlakken
Vergelijkingen van rechten in de ruimte
Afstand van punt tot vlak
Normaalvector van een vlak
Loodvlak door een punt op een rechte
Loodlijn uit punt op een vlak
Hoeken tussen rechten en vlakken
Snijden van rechten en vlakken
Kegelsneden ( Cirkel, Ellips, Parabool en Hyperbool)
E-Oefeningen Ruimtemeetkunde
XXII Financiele Algebra
>
Lenen met vaste termijnbedrag( met TI84)
>
Rente bij Enkelvoudig interest omvormen
Rente bij samengesteld interest omvormenomvormen
Sparen met annuiteiten (met TI84)
Sparen met enkelvoudig interest
Sparen met samengesteld interest
Tabel bij Lenen met EENMALIGE AFLOSSING
Tabel bij Lenen met Vast KAPITAALBEDRAG
Tabel bij Lenen met Vast Termijnbedrag
E-Oefeningen :Financiele Algebra
>
Berekenen van percentages
Sparen en Obligaties
Overzicht : Financiele Algebra
Financiele algebra
Geld Lenen
XVI Rijen en Reeksen
>
Opstellen rekenkundige en meetkundige rijen
E-Oefeningen Rijen en Reeksen
>
Meetkundige en Rekenkundige Rijene
Overzicht : Rijen en Reeksen
Grafentheorie
>
start pagina
XXI Poolcoordinaten
>
Van Cartesisch naar Poolcoordinaten
Van Poolcoordinaten naar cartesisch
Overzicht Wiskunde Videos
Overzichten videos
Thumbnail youtube
VIII Statistiek , Combinatieleer en Kanstheorie
>
Overzicht Statistiek , Combinatieleer en KanstheorieSTATISTIEK
>
Verzamelingen opsommen
>
Tellen met een Venn Diagram
Tellen met Boomdiagram
Product, som en Complement Regel
Combinatie
>
Variatie
Herhalingsvariaties
Permutaties
Gemiddelde van een aantal getallen
Mediaan van een aantal getallen
Modus van een aantal getallen
Spreidingsbreedte van een aantal getallen
Frequentietabel van een aantal getallen
Staafdiagram van een aantal getallen
Dotplot van een aantal getallen
Steekproefomvang berekenen
>
95% Betrouwbaarheidsintervallen (van Gemiddelden)
95% Betrouwbaarheidsintervallen ( van Proporties
E-Oefeningen Statistiek , Combinatieleer , Kanstheorie
Inductieve Wiskunde
>
Exponentiele en logaritmen door Bingo te spelen
Normaalverdelingen door schoenen te verkopen
Blog : Bedenkingen( wiskundig en algemeen )
Exponentiele functies door de krant te lezen
>
Overzicht Verzamelingen
>
Unie van verzamelingen
Doorsnede van verzamelingen
Verschil van verzamelingen
Element van en Deel van
Functies
>
Hoeken naar Kwadrant
Afronden tot op cijfers na de komma
Kanstheorie door ijsjes te verkopen
Matrix door zelfgemaakte juwelen te verkopen
Lineaire functies door star wars te spelen
Leerplannen
Nieuwe Hoofdpagina
>
Goniometrie door voetbal te spelen
Afgeleiden door tennis op de maan te spelen
More...
jozef aerts wiskunde videos bijlessen
>
Wie ben ik ?
>
in de PERS
Contact Opnemen
>
Bijlessen Wiskunde
>
Series Bijlessen
Lesgeven in Secundair Onderwijs
>
Smartboard
Jaarplannen
Overzicht : Integralen
Impressies van lesgeven
Hoofdpagina
>
Wiskunde On-Line
>
Analyse van Functies
Meetkunde
>
XVII Analytische meetkunde in het vlak Van Thales
>
Overzicht : Vlakke Meetkunde
E-Oefeningen Vlakke Meetkunde
Overzicht : Gelijkvormigheid en Stelling Van Thales
>
Optellen van getallen ( Hoofdrekenen )
>
Optellen van negatieve getallen
Aftrekken van getallen ( Hoofdrekenen )
Aftrekken van getallen ( cijfers na de komma))
Vermenigvuldigen van getallen ( Hoofdrekenen )
Vermenigvuldigen van getallen ( cijfers na de komma )
Vermenigvuldigen van negatieve getallen
Vermenigvuldigen van kommagetallen
Delen van getallen (hoofdrekenen)
Staartdelingen
Delen met veelvouden van 10
Afronden op 10 tAL
Onderdelen van een getal 10
Onderdelen van een getal tiende
Kleinste en Grootste Getal
Omgekeerde van een getal
Deelbaar door 369
Deelbaar door 248
Tegengestelde van een getal
Volgorde van bewerkingen
Van wetenschappelijke schrijfwijze naar getal
Deelbaar door 525100
Van getal naar wetenschappelijke schrijfwijze
Omvormen van formules
Kegelsneden ( overzicht )
E-oef : Gelijkvormigheid en Stelling Van Thales
Optellen van getallen ( cijfers na de komma )
Berekeningen met getallen
Verzamelingen
XIX Functies ( Algemene begrippen)
>
Functies Algemeen
Overzicht : Functies ( Algemeen)
>
Grafieken van functies
inverse functies
Samengestelde functies
E Oefeningen : Functies ( Algemeen )
IV Lineaire Functies ( 1ste Graad)
>
Overzicht : Lineaire Functies ( 1ste Graad)
>
Lineaire Vergelijkingen BASIS
Lineaire Vergelijkingen meerdere x
Lineaire Vergelijkingen met haakjes
Lineaire Vergelijkingen met breuken
Speciale Lineaire Vergelijkingen
Vergelijkingen met absolute waarden
Onderzoek Lineaire functie
Lineair verband
van grafiek naar lineaire functie
punten op grafiek van lineaire functie
Vergelijkingen met wortels en met π
>
Vergelijkingen met absolute waarde
Lineaire vergelijkingen met parameters
Vraagstuk Zakgeld per maand
Op tijd naar school
>
Muziek aankopen
Zwemmen
Zakgeld per maand
Ongelijkheden van de 1 ste graad
Ongelijkheden met absolute waarden
Verhouding Vraagstukken
Wiskundige formule opstellen
>
Oplossen vraagstukken van de 1ste graad
Rico berekenen uit 2 punten
Rico berekenen uit rechte
Rechte door punt en gegeven Rico
Rechte door punt en evenwijdig met andere rechte
Rechte door 2 Punten
Midden van 2 punten
>
Afstand tussen 2 punten
Afstand tussen punt en rechte
Scalair product van 2 vectoren
>
Norm van een vector
Loodlijn uit een punt op een rechte
Afstand tussen 2 rechten in het vlak
E-Oefeningen : Lineaire Functies ( 1ste graad functies)
I Kwadratische Functies
>
Overzicht : Kwadratische Functies ( 1ste Graad)
>
Onvolledige Vierkantsvergelijkingen
>
Kwadratische vergelijkingen met 2 oplossingen
Kwadratische vergelijkingen met 1 nulpunt
SomenproductVierkantsvergelijkingen
Ontbinden factoren Vierkantsvergelijkingen
>
Grafiek algemene kwadratische functie
Grafieken tekenen van basis kwadratische functies
van grafiek naar kwadratische functie
Symmetrie As en Top van kwadratische functies
2de Graad Vergelijkingen met parameters
Bikwadratische Vergelijkingen
Vraagstukken met Kwadratische functies
>
Ongelijkheden van de 2de graad
E-Oef : Kwadratische functies ( 2de graad)
II Hogere Graadsfuncties ( Derde en meer)
>
Overzicht : Hogere Graadfuncties ( Derde en meer)
>
Graad van een veelterm
Euclidische Deling
Regel van Horner : functiewaarden
Regel van Horner : nulpunten
Regel van Horner : ontbinden met 3 nulpunten
Regel van Horner : ontbinden met 2 nulpunten
Regel van Horner : ontbinden met 1 nulpunt
Regel van Horner : Hogere raadsfuncties
Ongelijkheden veeltermfuncties
vraagstukken met veeltermfuncties
vTekenverloop van 3de graadsfunctie met 3 nulpunten
>
IX Rationale en Irrationale Functies
>
Overzicht : Rationale Functies
>
Partieelbreuken
Rationale Vergelijkingen
Rationale Ongelijkheden
Bespreking Homografische functie
Homografische functies omvormen naar basis
Perforaties en Verticale Asymptoten
Horizontale en Schuine Asymptoten
Onderzoek Rationale Functie
Bespreking Rationale functie
Irrationale Vergelijkingen
Domein Irrationale Functies
E-Oefeningen Rationale en Irrationale Functies
Tekenverloop van 3de graadsfunctie met 2 nulpunten
E-Oefeningen : Hogere graadsfuncties
Homografische functies eigenschappen
XI Afgeleiden en Verloop van functies
>
Overzicht : Afgeleiden en Verloop van Functies
>
Differentiequotienten
Diiferentiequotienten met functie
>
Differentiequotienten met tabel
Differenteiquotienten met grafiek
Afgeleiden van veeltermfuncties
Afgeleiden van wortelfuncties
Afgeleiden van producten
Afgeleiden van quotienten
Kettingregel bij afgeleiden
Limieten van rationale functies naar a
Raaklijnen aan veeltermfuncties
Raaklijnen aan goniometrische functies
Raaklijnen aan exponentiele functies
Maxima en Minima aan veeltermfuncties
Stijgen en dalen van veeltermfuncties
E-Oefeningen Afgeleiden en Verloop van Functies
X Limieten
>
Overzicht : Limieten
>
Limieten van veeltermfuncties
Limieten van rationale functies naar oo
Limieten van Goniometrische functies
E-Oefeningen Limieten
III Goniometrie
>
E-Oefeningen : Goniometrie
>
Radialen - Sinus Functie
Goniometrische formules E-Oefening
Sinus En Cosinusregel : E Oefening
Omvormen van Formules
XIV Exponentiele en Logaritmische Functies
>
Overzicht : Exponentiele en Logaritmische Functies
>
Rechthoekige driehoeken oplossen
>
Vorm om naar hoek in eerste kwadrant ( in graden )
Cosinus berekenen als Sinus gegeven is
>
Overzicht : Goniometrie
>
Goniometrische Cirkel
>
Teken van Sinus, Cosinus en Tangens
Van Graden naar Radialen
Van Radialen naar Graden
Hoofdwaarden ( in Graden )
Hoofdwaarden ( in Radialen )
Supplementaire hoeken ( in graden )
Supplementaire hoeken ( in radialen )
AntiSupplementaire hoeken ( graden
Hoofdwaarden ( in Graden )
Hoofdwaarden ( in Radialen )
Supplementaire Hoeken ( in Graden )
Antisupplementaire Hoeken ( in Graden )
Tegengestelde Hoeken ( in Graden )
Goniometrische Formules
Som en verschil formule
>
Antisupplementaire hoeken ( radialen
>
Tegengestelde hoeken ( in graden )
Complementaire hoeken ( in graden )
Complementaire hoeken ( in radialen )
Tegengestelde hoeken ( in radialen )
Goniometrische vergelijkingen (periodeaanpassing
Goniometrische vergelijkingen (Basis)
Formules van Simpson
Toenamefactor bij exponentiële functies
Toenamefactor berekenen uit 2 waarden
Opstellen exponentiële functie
Grafieken van exponentiële functie
omvormen exponentiële vergelijkingen naar basisvorm
Verdubbeling en Halvering bij exponentiële functies
Exponentiële vergelijkingen zelfde grondgetal
Exponentiële vergelijkingen verschillend grondgetal
Vraagstukken Exponentiële functies
Rekenen met Logaritmen
>
Logaritmische functies
Logaritmische Getallen
>
Logaritme van som en verschil
Logaritme van grondgetal als macht
Logaritme van grondgetal als breuk
Logaritme van grondgetal als breuk
Logaritme van een quotient
Logaritme van een product
Logaritme van een macht
Logaritme met omwisseling grondgetal
Logaritmen met wortels
Logaritmische vergelijkingen
E-Oefeningen Exponentiele en Logaritmische Functies
>
Grafieken van exponentiele en logaritmische functies
Wortelvormen Berekeningen
Vectorruimten
>
ComplexeGetallenOef1
ComplexeGetallenOef2
ComplexeGetallenOef3
ComplexeGetallenOef4
Complexegetallenoef5
ComplexeGetallenoef6
MatrixOefening1
Matrixoefening7
MatrixOefening2
Matrixoefening5
Matrixoefening4
Matrixoefening6
Matrixoefening8
Rijenoef1
RijenOef2
Rijenoef3
Rijenoef4
Oefeningafgeleiden1
VeeltermfunctiesOef1
RijenOef5
Tekenen
Test
Veeltermenoef2
XV Matrix Rekenen
>
Overzicht : Matrix Rekenen
E-Oefeningen Matrix Rekenen
>
Matrixoefening3
>
Matrixoefening9
V Beschrijvende Meetkunde
>
Overzicht : Beschrijvende MeetkundeMeetkundig)
>
Overzicht : Stelling Van Thales
>
Stelling van Thales Twee evenwijdige rechten en driehoek
>
Stelling van Thales evenwijdige projectie
Stelling van Thales 3 evenwijdige rechten
Overzicht : Punten , Lijnen , Rechten , Hoeken
Cirkel
>
Hoeken in gelijkzijdige en gelijkbenige driehoeken
Omtrekshoeken en Middelpuntshoeken
Van vergelijking naar middelpunt en straal
>
Van middelpunt en straal naar vergelijking
Speciale lijnen in een driehoek
>
Soorten vierhoeken
Soorten hoeken
Soorten driehoeken
Rechte,halfrechte en lijnstuk
Georienteerde hoeken
Overstaande en supplementaire hoeken
Som van hoeken van driehoek
Som van hoeken in een vierhoek
Evenwijdige, loodrechte en snijdende rechten
Evenwijdige rechten en hun snijlijn
Overzicht : Transformaties
>
Verschuivingen
>
Spiegelingen
Rotaties
Spiegeling tov y-as
Spiegeling tov x-as
Spiegeling tov oorsprong
Spiegeling tov 2de bissectrice
Spiegeling tov 1ste bissectrice
Rotatie over +90 graden
Rotatie over -90 graden
Overzicht : Omtrek, Oppervlakte, Inhoud
Vierkanten
>
Rechthoeken
Driehoeken
Ruiten
Parallellogram
Trapezium
Cirkels
Kubus
Overzicht : Stelling van Pythagoras en Gelijkvormigheid
>
Stelling van Pythagoras in een rechthoekige driehoek
>
Metrische betrekkingen in een rechthoekige driehoek
>
Oplossen van gelijkvormige driehoeken
Gelijkvormigheidsfactor
Omtrek, Oppervlakte en inhoud bij gelijkvormigheid
Stelling van Pythagoras in de Ruimte
E-Oefeningen Beschrijvende Meetkundeel Meetkundig
>
E-Oefeningen : Stelling van Pythagoras
>
Vraagstukken Stelling van Pythagorasna
XII Ruimtemeetkunde
>
Overzicht : Ruimtemeetkunde
>
Afstand tussen 2 punten in de ruimte
>
Vergelijking van vlakken
Vergelijkingen van rechten in de ruimte
Afstand van punt tot vlak
Normaalvector van een vlak
Loodvlak door een punt op een rechte
Loodlijn uit punt op een vlak
Hoeken tussen rechten en vlakken
Snijden van rechten en vlakken
Kegelsneden ( Cirkel, Ellips, Parabool en Hyperbool)
E-Oefeningen Ruimtemeetkunde
XXII Financiele Algebra
>
Lenen met vaste termijnbedrag( met TI84)
>
Rente bij Enkelvoudig interest omvormen
Rente bij samengesteld interest omvormenomvormen
Sparen met annuiteiten (met TI84)
Sparen met enkelvoudig interest
Sparen met samengesteld interest
Tabel bij Lenen met EENMALIGE AFLOSSING
Tabel bij Lenen met Vast KAPITAALBEDRAG
Tabel bij Lenen met Vast Termijnbedrag
E-Oefeningen :Financiele Algebra
>
Berekenen van percentages
Sparen en Obligaties
Overzicht : Financiele Algebra
Financiele algebra
Geld Lenen
XVI Rijen en Reeksen
>
Opstellen rekenkundige en meetkundige rijen
E-Oefeningen Rijen en Reeksen
>
Meetkundige en Rekenkundige Rijene
Overzicht : Rijen en Reeksen
Grafentheorie
>
start pagina
XXI Poolcoordinaten
>
Van Cartesisch naar Poolcoordinaten
Van Poolcoordinaten naar cartesisch
Overzicht Wiskunde Videos
Overzichten videos
Thumbnail youtube
VIII Statistiek , Combinatieleer en Kanstheorie
>
Overzicht Statistiek , Combinatieleer en KanstheorieSTATISTIEK
>
Verzamelingen opsommen
>
Tellen met een Venn Diagram
Tellen met Boomdiagram
Product, som en Complement Regel
Combinatie
>
Variatie
Herhalingsvariaties
Permutaties
Gemiddelde van een aantal getallen
Mediaan van een aantal getallen
Modus van een aantal getallen
Spreidingsbreedte van een aantal getallen
Frequentietabel van een aantal getallen
Staafdiagram van een aantal getallen
Dotplot van een aantal getallen
Steekproefomvang berekenen
>
95% Betrouwbaarheidsintervallen (van Gemiddelden)
95% Betrouwbaarheidsintervallen ( van Proporties
E-Oefeningen Statistiek , Combinatieleer , Kanstheorie
Inductieve Wiskunde
>
Exponentiele en logaritmen door Bingo te spelen
Normaalverdelingen door schoenen te verkopen
Blog : Bedenkingen( wiskundig en algemeen )
Exponentiele functies door de krant te lezen
>
Overzicht Verzamelingen
>
Unie van verzamelingen
Doorsnede van verzamelingen
Verschil van verzamelingen
Element van en Deel van
Functies
>
Hoeken naar Kwadrant
Afronden tot op cijfers na de komma
Kanstheorie door ijsjes te verkopen
Matrix door zelfgemaakte juwelen te verkopen
Lineaire functies door star wars te spelen
Leerplannen
Nieuwe Hoofdpagina
>
Goniometrie door voetbal te spelen
Afgeleiden door tennis op de maan te spelen
Your Cart
jozef aerts wiskunde videos bijlessen
Back
jozef aerts wiskunde videos bijlessen
jozef aerts wiskunde videos bijlessen
Wie ben ik ?
Back
Wie ben ik ?
Wie ben ik ?
in de PERS
Contact Opnemen
Back
Contact Opnemen
Contact Opnemen
Bijlessen Wiskunde
Hoofdpagina
Back
Bijlessen Wiskunde
Bijlessen Wiskunde
Series Bijlessen
Lesgeven in Secundair Onderwijs
Back
Lesgeven in Secundair Onderwijs
Lesgeven in Secundair Onderwijs
Smartboard
Jaarplannen
Overzicht : Integralen
Impressies van lesgeven
Back
Hoofdpagina
Hoofdpagina
Wiskunde On-Line
Back
Wiskunde On-Line
Wiskunde On-Line
Analyse van Functies
Meetkunde
Verzamelingen
XIX Functies ( Algemene begrippen)
IV Lineaire Functies ( 1ste Graad)
I Kwadratische Functies
II Hogere Graadsfuncties ( Derde en meer)
Homografische functies eigenschappen
XI Afgeleiden en Verloop van functies
X Limieten
III Goniometrie
XIV Exponentiele en Logaritmische Functies
Vectorruimten
XV Matrix Rekenen
V Beschrijvende Meetkunde
XII Ruimtemeetkunde
XXII Financiele Algebra
XVI Rijen en Reeksen
Grafentheorie
XXI Poolcoordinaten
VIII Statistiek , Combinatieleer en Kanstheorie
Back
Meetkunde
Meetkunde
XVII Analytische meetkunde in het vlak Van Thales
Berekeningen met getallen
Back
XVII Analytische meetkunde in het vlak Van Thales
XVII Analytische meetkunde in het vlak Van Thales
Overzicht : Vlakke Meetkunde
E-Oefeningen Vlakke Meetkunde
Overzicht : Gelijkvormigheid en Stelling Van Thales
E-oef : Gelijkvormigheid en Stelling Van Thales
Optellen van getallen ( cijfers na de komma )
Back
Overzicht : Gelijkvormigheid en Stelling Van Thales
Overzicht : Gelijkvormigheid en Stelling Van Thales
Optellen van getallen ( Hoofdrekenen )
Kegelsneden ( overzicht )
Back
Optellen van getallen ( Hoofdrekenen )
Optellen van getallen ( Hoofdrekenen )
Optellen van negatieve getallen
Aftrekken van getallen ( Hoofdrekenen )
Aftrekken van getallen ( cijfers na de komma))
Vermenigvuldigen van getallen ( Hoofdrekenen )
Vermenigvuldigen van getallen ( cijfers na de komma )
Vermenigvuldigen van negatieve getallen
Vermenigvuldigen van kommagetallen
Delen van getallen (hoofdrekenen)
Staartdelingen
Delen met veelvouden van 10
Afronden op 10 tAL
Onderdelen van een getal 10
Onderdelen van een getal tiende
Kleinste en Grootste Getal
Omgekeerde van een getal
Deelbaar door 369
Deelbaar door 248
Tegengestelde van een getal
Volgorde van bewerkingen
Van wetenschappelijke schrijfwijze naar getal
Deelbaar door 525100
Van getal naar wetenschappelijke schrijfwijze
Omvormen van formules
Back
XIX Functies ( Algemene begrippen)
XIX Functies ( Algemene begrippen)
Functies Algemeen
Overzicht : Functies ( Algemeen)
E Oefeningen : Functies ( Algemeen )
Back
Overzicht : Functies ( Algemeen)
Overzicht : Functies ( Algemeen)
Grafieken van functies
inverse functies
Samengestelde functies
Back
IV Lineaire Functies ( 1ste Graad)
IV Lineaire Functies ( 1ste Graad)
Overzicht : Lineaire Functies ( 1ste Graad)
E-Oefeningen : Lineaire Functies ( 1ste graad functies)
Back
Overzicht : Lineaire Functies ( 1ste Graad)
Overzicht : Lineaire Functies ( 1ste Graad)
Lineaire Vergelijkingen BASIS
Lineaire Vergelijkingen meerdere x
Lineaire Vergelijkingen met haakjes
Lineaire Vergelijkingen met breuken
Speciale Lineaire Vergelijkingen
Vergelijkingen met absolute waarden
Onderzoek Lineaire functie
Lineair verband
van grafiek naar lineaire functie
punten op grafiek van lineaire functie
Vergelijkingen met wortels en met π
Verhouding Vraagstukken
Wiskundige formule opstellen
Rico berekenen uit 2 punten
Rico berekenen uit rechte
Rechte door punt en gegeven Rico
Rechte door punt en evenwijdig met andere rechte
Rechte door 2 Punten
Midden van 2 punten
Scalair product van 2 vectoren
Back
Vergelijkingen met wortels en met π
Vergelijkingen met wortels en met π
Vergelijkingen met absolute waarde
Lineaire vergelijkingen met parameters
Vraagstuk Zakgeld per maand
Op tijd naar school
Ongelijkheden van de 1 ste graad
Ongelijkheden met absolute waarden
Back
Op tijd naar school
Op tijd naar school
Muziek aankopen
Zwemmen
Zakgeld per maand
Back
Wiskundige formule opstellen
Wiskundige formule opstellen
Oplossen vraagstukken van de 1ste graad
Back
Midden van 2 punten
Midden van 2 punten
Afstand tussen 2 punten
Afstand tussen punt en rechte
Back
Scalair product van 2 vectoren
Scalair product van 2 vectoren
Norm van een vector
Loodlijn uit een punt op een rechte
Afstand tussen 2 rechten in het vlak
Back
I Kwadratische Functies
I Kwadratische Functies
Overzicht : Kwadratische Functies ( 1ste Graad)
E-Oef : Kwadratische functies ( 2de graad)
Back
Overzicht : Kwadratische Functies ( 1ste Graad)
Overzicht : Kwadratische Functies ( 1ste Graad)
Onvolledige Vierkantsvergelijkingen
Vraagstukken met Kwadratische functies
Back
Onvolledige Vierkantsvergelijkingen
Onvolledige Vierkantsvergelijkingen
Kwadratische vergelijkingen met 2 oplossingen
Kwadratische vergelijkingen met 1 nulpunt
SomenproductVierkantsvergelijkingen
Ontbinden factoren Vierkantsvergelijkingen
Back
Ontbinden factoren Vierkantsvergelijkingen
Ontbinden factoren Vierkantsvergelijkingen
Grafiek algemene kwadratische functie
Grafieken tekenen van basis kwadratische functies
van grafiek naar kwadratische functie
Symmetrie As en Top van kwadratische functies
2de Graad Vergelijkingen met parameters
Bikwadratische Vergelijkingen
Back
Vraagstukken met Kwadratische functies
Vraagstukken met Kwadratische functies
Ongelijkheden van de 2de graad
Back
II Hogere Graadsfuncties ( Derde en meer)
II Hogere Graadsfuncties ( Derde en meer)
Overzicht : Hogere Graadfuncties ( Derde en meer)
E-Oefeningen : Hogere graadsfuncties
Back
Overzicht : Hogere Graadfuncties ( Derde en meer)
Overzicht : Hogere Graadfuncties ( Derde en meer)
Graad van een veelterm
Euclidische Deling
Regel van Horner : functiewaarden
Regel van Horner : nulpunten
Regel van Horner : ontbinden met 3 nulpunten
Regel van Horner : ontbinden met 2 nulpunten
Regel van Horner : ontbinden met 1 nulpunt
Regel van Horner : Hogere raadsfuncties
Ongelijkheden veeltermfuncties
vraagstukken met veeltermfuncties
vTekenverloop van 3de graadsfunctie met 3 nulpunten
Back
vTekenverloop van 3de graadsfunctie met 3 nulpunten
vTekenverloop van 3de graadsfunctie met 3 nulpunten
IX Rationale en Irrationale Functies
Tekenverloop van 3de graadsfunctie met 2 nulpunten
Back
IX Rationale en Irrationale Functies
IX Rationale en Irrationale Functies
Overzicht : Rationale Functies
E-Oefeningen Rationale en Irrationale Functies
Back
Overzicht : Rationale Functies
Overzicht : Rationale Functies
Partieelbreuken
Rationale Vergelijkingen
Rationale Ongelijkheden
Bespreking Homografische functie
Homografische functies omvormen naar basis
Perforaties en Verticale Asymptoten
Horizontale en Schuine Asymptoten
Onderzoek Rationale Functie
Bespreking Rationale functie
Irrationale Vergelijkingen
Domein Irrationale Functies
Back
XI Afgeleiden en Verloop van functies
XI Afgeleiden en Verloop van functies
Overzicht : Afgeleiden en Verloop van Functies
E-Oefeningen Afgeleiden en Verloop van Functies
Back
Overzicht : Afgeleiden en Verloop van Functies
Overzicht : Afgeleiden en Verloop van Functies
Differentiequotienten
Diiferentiequotienten met functie
Afgeleiden van veeltermfuncties
Afgeleiden van wortelfuncties
Afgeleiden van producten
Afgeleiden van quotienten
Kettingregel bij afgeleiden
Limieten van rationale functies naar a
Raaklijnen aan veeltermfuncties
Raaklijnen aan goniometrische functies
Raaklijnen aan exponentiele functies
Maxima en Minima aan veeltermfuncties
Stijgen en dalen van veeltermfuncties
Back
Diiferentiequotienten met functie
Diiferentiequotienten met functie
Differentiequotienten met tabel
Differenteiquotienten met grafiek
Back
X Limieten
X Limieten
Overzicht : Limieten
E-Oefeningen Limieten
Back
Overzicht : Limieten
Overzicht : Limieten
Limieten van veeltermfuncties
Limieten van rationale functies naar oo
Limieten van Goniometrische functies
Back
III Goniometrie
III Goniometrie
E-Oefeningen : Goniometrie
Back
E-Oefeningen : Goniometrie
E-Oefeningen : Goniometrie
Radialen - Sinus Functie
Goniometrische formules E-Oefening
Sinus En Cosinusregel : E Oefening
Omvormen van Formules
Back
XIV Exponentiele en Logaritmische Functies
XIV Exponentiele en Logaritmische Functies
Overzicht : Exponentiele en Logaritmische Functies
E-Oefeningen Exponentiele en Logaritmische Functies
Back
Overzicht : Exponentiele en Logaritmische Functies
Overzicht : Exponentiele en Logaritmische Functies
Rechthoekige driehoeken oplossen
Toenamefactor bij exponentiële functies
Toenamefactor berekenen uit 2 waarden
Opstellen exponentiële functie
Grafieken van exponentiële functie
omvormen exponentiële vergelijkingen naar basisvorm
Verdubbeling en Halvering bij exponentiële functies
Exponentiële vergelijkingen zelfde grondgetal
Exponentiële vergelijkingen verschillend grondgetal
Vraagstukken Exponentiële functies
Rekenen met Logaritmen
Logaritmische Getallen
Logaritmen met wortels
Logaritmische vergelijkingen
Back
Rechthoekige driehoeken oplossen
Rechthoekige driehoeken oplossen
Vorm om naar hoek in eerste kwadrant ( in graden )
Cosinus berekenen als Sinus gegeven is
Som en verschil formule
Goniometrische vergelijkingen (periodeaanpassing
Goniometrische vergelijkingen (Basis)
Formules van Simpson
Back
Cosinus berekenen als Sinus gegeven is
Cosinus berekenen als Sinus gegeven is
Overzicht : Goniometrie
Back
Overzicht : Goniometrie
Overzicht : Goniometrie
Goniometrische Cirkel
Hoofdwaarden ( in Graden )
Hoofdwaarden ( in Radialen )
Supplementaire Hoeken ( in Graden )
Antisupplementaire Hoeken ( in Graden )
Tegengestelde Hoeken ( in Graden )
Goniometrische Formules
Back
Goniometrische Cirkel
Goniometrische Cirkel
Teken van Sinus, Cosinus en Tangens
Van Graden naar Radialen
Van Radialen naar Graden
Hoofdwaarden ( in Graden )
Hoofdwaarden ( in Radialen )
Supplementaire hoeken ( in graden )
Supplementaire hoeken ( in radialen )
AntiSupplementaire hoeken ( graden
Back
Som en verschil formule
Som en verschil formule
Antisupplementaire hoeken ( radialen
Back
Antisupplementaire hoeken ( radialen
Antisupplementaire hoeken ( radialen
Tegengestelde hoeken ( in graden )
Complementaire hoeken ( in graden )
Complementaire hoeken ( in radialen )
Tegengestelde hoeken ( in radialen )
Back
Rekenen met Logaritmen
Rekenen met Logaritmen
Logaritmische functies
Back
Logaritmische Getallen
Logaritmische Getallen
Logaritme van som en verschil
Logaritme van grondgetal als macht
Logaritme van grondgetal als breuk
Logaritme van grondgetal als breuk
Logaritme van een quotient
Logaritme van een product
Logaritme van een macht
Logaritme met omwisseling grondgetal
Back
E-Oefeningen Exponentiele en Logaritmische Functies
E-Oefeningen Exponentiele en Logaritmische Functies
Grafieken van exponentiele en logaritmische functies
Wortelvormen Berekeningen
Back
Vectorruimten
Vectorruimten
ComplexeGetallenOef1
ComplexeGetallenOef2
ComplexeGetallenOef3
ComplexeGetallenOef4
Complexegetallenoef5
ComplexeGetallenoef6
MatrixOefening1
Matrixoefening7
MatrixOefening2
Matrixoefening5
Matrixoefening4
Matrixoefening6
Matrixoefening8
Rijenoef1
RijenOef2
Rijenoef3
Rijenoef4
Oefeningafgeleiden1
VeeltermfunctiesOef1
RijenOef5
Tekenen
Test
Veeltermenoef2
Back
XV Matrix Rekenen
XV Matrix Rekenen
Overzicht : Matrix Rekenen
E-Oefeningen Matrix Rekenen
Back
E-Oefeningen Matrix Rekenen
E-Oefeningen Matrix Rekenen
Matrixoefening3
Back
Matrixoefening3
Matrixoefening3
Matrixoefening9
Back
V Beschrijvende Meetkunde
V Beschrijvende Meetkunde
Overzicht : Beschrijvende MeetkundeMeetkundig)
Overzicht : Stelling van Pythagoras en Gelijkvormigheid
E-Oefeningen Beschrijvende Meetkundeel Meetkundig
Back
Overzicht : Beschrijvende MeetkundeMeetkundig)
Overzicht : Beschrijvende MeetkundeMeetkundig)
Overzicht : Stelling Van Thales
Overzicht : Punten , Lijnen , Rechten , Hoeken
Cirkel
Speciale lijnen in een driehoek
Overzicht : Transformaties
Overzicht : Omtrek, Oppervlakte, Inhoud
Vierkanten
Back
Overzicht : Stelling Van Thales
Overzicht : Stelling Van Thales
Stelling van Thales Twee evenwijdige rechten en driehoek
Back
Stelling van Thales Twee evenwijdige rechten en driehoek
Stelling van Thales Twee evenwijdige rechten en driehoek
Stelling van Thales evenwijdige projectie
Stelling van Thales 3 evenwijdige rechten
Back
Cirkel
Cirkel
Hoeken in gelijkzijdige en gelijkbenige driehoeken
Omtrekshoeken en Middelpuntshoeken
Van vergelijking naar middelpunt en straal
Back
Van vergelijking naar middelpunt en straal
Van vergelijking naar middelpunt en straal
Van middelpunt en straal naar vergelijking
Back
Speciale lijnen in een driehoek
Speciale lijnen in een driehoek
Soorten vierhoeken
Soorten hoeken
Soorten driehoeken
Rechte,halfrechte en lijnstuk
Georienteerde hoeken
Overstaande en supplementaire hoeken
Som van hoeken van driehoek
Som van hoeken in een vierhoek
Evenwijdige, loodrechte en snijdende rechten
Evenwijdige rechten en hun snijlijn
Back
Overzicht : Transformaties
Overzicht : Transformaties
Verschuivingen
Back
Verschuivingen
Verschuivingen
Spiegelingen
Rotaties
Spiegeling tov y-as
Spiegeling tov x-as
Spiegeling tov oorsprong
Spiegeling tov 2de bissectrice
Spiegeling tov 1ste bissectrice
Rotatie over +90 graden
Rotatie over -90 graden
Back
Vierkanten
Vierkanten
Rechthoeken
Driehoeken
Ruiten
Parallellogram
Trapezium
Cirkels
Kubus
Back
Overzicht : Stelling van Pythagoras en Gelijkvormigheid
Overzicht : Stelling van Pythagoras en Gelijkvormigheid
Stelling van Pythagoras in een rechthoekige driehoek
Back
Stelling van Pythagoras in een rechthoekige driehoek
Stelling van Pythagoras in een rechthoekige driehoek
Metrische betrekkingen in een rechthoekige driehoek
Stelling van Pythagoras in de Ruimte
Back
Metrische betrekkingen in een rechthoekige driehoek
Metrische betrekkingen in een rechthoekige driehoek
Oplossen van gelijkvormige driehoeken
Gelijkvormigheidsfactor
Omtrek, Oppervlakte en inhoud bij gelijkvormigheid
Back
E-Oefeningen Beschrijvende Meetkundeel Meetkundig
E-Oefeningen Beschrijvende Meetkundeel Meetkundig
E-Oefeningen : Stelling van Pythagoras
Back
E-Oefeningen : Stelling van Pythagoras
E-Oefeningen : Stelling van Pythagoras
Vraagstukken Stelling van Pythagorasna
Back
XII Ruimtemeetkunde
XII Ruimtemeetkunde
Overzicht : Ruimtemeetkunde
E-Oefeningen Ruimtemeetkunde
Back
Overzicht : Ruimtemeetkunde
Overzicht : Ruimtemeetkunde
Afstand tussen 2 punten in de ruimte
Back
Afstand tussen 2 punten in de ruimte
Afstand tussen 2 punten in de ruimte
Vergelijking van vlakken
Vergelijkingen van rechten in de ruimte
Afstand van punt tot vlak
Normaalvector van een vlak
Loodvlak door een punt op een rechte
Loodlijn uit punt op een vlak
Hoeken tussen rechten en vlakken
Snijden van rechten en vlakken
Kegelsneden ( Cirkel, Ellips, Parabool en Hyperbool)
Back
XXII Financiele Algebra
XXII Financiele Algebra
Lenen met vaste termijnbedrag( met TI84)
E-Oefeningen :Financiele Algebra
Back
Lenen met vaste termijnbedrag( met TI84)
Lenen met vaste termijnbedrag( met TI84)
Rente bij Enkelvoudig interest omvormen
Rente bij samengesteld interest omvormenomvormen
Sparen met annuiteiten (met TI84)
Sparen met enkelvoudig interest
Sparen met samengesteld interest
Tabel bij Lenen met EENMALIGE AFLOSSING
Tabel bij Lenen met Vast KAPITAALBEDRAG
Tabel bij Lenen met Vast Termijnbedrag
Back
E-Oefeningen :Financiele Algebra
E-Oefeningen :Financiele Algebra
Berekenen van percentages
Sparen en Obligaties
Overzicht : Financiele Algebra
Financiele algebra
Geld Lenen
Back
XVI Rijen en Reeksen
XVI Rijen en Reeksen
Opstellen rekenkundige en meetkundige rijen
E-Oefeningen Rijen en Reeksen
Overzicht : Rijen en Reeksen
Back
E-Oefeningen Rijen en Reeksen
E-Oefeningen Rijen en Reeksen
Meetkundige en Rekenkundige Rijene
Back
Grafentheorie
Grafentheorie
start pagina
Back
XXI Poolcoordinaten
XXI Poolcoordinaten
Van Cartesisch naar Poolcoordinaten
Van Poolcoordinaten naar cartesisch
Overzicht Wiskunde Videos
Overzichten videos
Thumbnail youtube
Back
VIII Statistiek , Combinatieleer en Kanstheorie
VIII Statistiek , Combinatieleer en Kanstheorie
Overzicht Statistiek , Combinatieleer en KanstheorieSTATISTIEK
E-Oefeningen Statistiek , Combinatieleer , Kanstheorie
Inductieve Wiskunde
Back
Overzicht Statistiek , Combinatieleer en KanstheorieSTATISTIEK
Overzicht Statistiek , Combinatieleer en KanstheorieSTATISTIEK
Verzamelingen opsommen
Combinatie
Gemiddelde van een aantal getallen
Mediaan van een aantal getallen
Modus van een aantal getallen
Spreidingsbreedte van een aantal getallen
Frequentietabel van een aantal getallen
Staafdiagram van een aantal getallen
Dotplot van een aantal getallen
Steekproefomvang berekenen
Back
Verzamelingen opsommen
Verzamelingen opsommen
Tellen met een Venn Diagram
Tellen met Boomdiagram
Product, som en Complement Regel
Back
Combinatie
Combinatie
Variatie
Herhalingsvariaties
Permutaties
Back
Steekproefomvang berekenen
Steekproefomvang berekenen
95% Betrouwbaarheidsintervallen (van Gemiddelden)
95% Betrouwbaarheidsintervallen ( van Proporties
Back
Inductieve Wiskunde
Inductieve Wiskunde
Exponentiele en logaritmen door Bingo te spelen
Normaalverdelingen door schoenen te verkopen
Blog : Bedenkingen( wiskundig en algemeen )
Exponentiele functies door de krant te lezen
Kanstheorie door ijsjes te verkopen
Matrix door zelfgemaakte juwelen te verkopen
Lineaire functies door star wars te spelen
Leerplannen
Nieuwe Hoofdpagina
Back
Exponentiele functies door de krant te lezen
Exponentiele functies door de krant te lezen
Overzicht Verzamelingen
Functies
Back
Overzicht Verzamelingen
Overzicht Verzamelingen
Unie van verzamelingen
Doorsnede van verzamelingen
Verschil van verzamelingen
Element van en Deel van
Back
Functies
Functies
Hoeken naar Kwadrant
Afronden tot op cijfers na de komma
Back
Nieuwe Hoofdpagina
Nieuwe Hoofdpagina
Goniometrie door voetbal te spelen
Afgeleiden door tennis op de maan te spelen
Your Cart
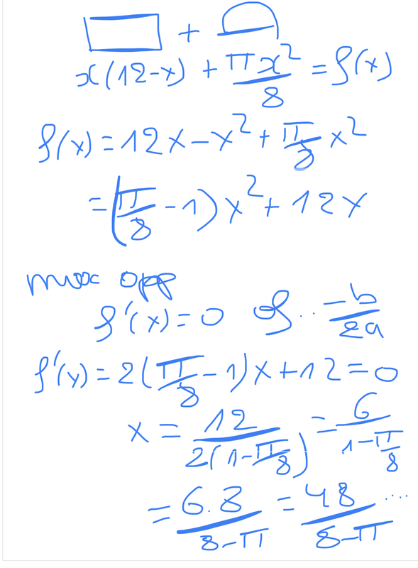
EXTREMUM VRAAGSTUK :
Poort met halve cirkel